题目内容
某行星和地球绕太阳公转的轨道均可视为圆.每过N年,该行星会运行到日地连线的延长线上,如图所示.该行星与地球的公转半径比为( )A.
B.
C.
D.
【答案】分析:由图可知行星的轨道半径大,那么由开普勒第三定律知其周期长,其绕太阳转的慢.每过N年,该行星会运行到日地连线的延长线上,说明N年地球比行星多转1圈,即行星转了N-1圈,从而再次在日地连线的延长线上,那么,可以求出行星的周期是
年,接着再由开普勒第三定律求解该行星与地球的公转半径比.
解答:解:A、B、C、D:由图可知行星的轨道半径大,那么由开普勒第三定律知其周期长.每过N年,该行星会运行到日地连线的延长线上,说明从最初在日地连线的延长线上开始,每一年地球都在行星的前面比行星多转圆周的N分之一,N年后地球转了N圈,比行星多转1圈,即行星转了N-1圈,从而再次在日地连线的延长线上.所以行星的周期是
年,根据开普勒第三定律有
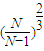
,即:
=
=
,所以,选项A、C、D错误,选项B正确.
故选:B.
点评:解答此题的关键由题意分析得出每过N年地球比行星多围绕太阳转一圈,由此求出行星的周期,再由开普勒第三定律求解即可.
解答:解:A、B、C、D:由图可知行星的轨道半径大,那么由开普勒第三定律知其周期长.每过N年,该行星会运行到日地连线的延长线上,说明从最初在日地连线的延长线上开始,每一年地球都在行星的前面比行星多转圆周的N分之一,N年后地球转了N圈,比行星多转1圈,即行星转了N-1圈,从而再次在日地连线的延长线上.所以行星的周期是
故选:B.
点评:解答此题的关键由题意分析得出每过N年地球比行星多围绕太阳转一圈,由此求出行星的周期,再由开普勒第三定律求解即可.
练习册系列答案
相关题目