题目内容
利用皮带运输机将物体由地面运送到高出水平地面的C平台上,C平台离地面的竖直高度为5m,已知皮带和物体间的动摩擦因数为0.75,运输机的皮带以2m/s的速度匀速顺时针运动且皮带和轮子之间不打滑.(g=10m/s2,tan37°=0.75)(1)如图所示,若两个皮带轮相同,半径都是25cm,则此时轮子转动的角速度是多大?
(2)假设皮带在运送物体的过程中始终是张紧的.为了将地面上的物体运送到平台上,皮带的倾角θ最大不能超过多少?
(3)皮带运输机架设好之后,皮带与水平面的夹角为θ=30°.现将质量为1kg的小物体轻轻地放在皮带的A处,运送到C处.试求由于运送此物体,运输机比空载时多消耗的能量.
【答案】分析:(1)轮子做圆周运动,根据公式:v=ωr即可求得角速度;
(2)为了将地面上的物体运送到平台上,物体所受到的力应该满足:μmgcosθ>mgsinθ,进而求出倾角θ的范围;
(3)P物体放在皮带上先做匀加速运动,当速度达到皮带的速度时做匀速运动,物体匀加速运动时,根据牛顿第二定律可求出加速度,物体速度增加到与传送带速度相同时与传送带一起做匀速运动,求出物体与皮带的相对位移,根据Q=μmgcosθ?△s求出因滑动摩擦产生的热量,运送此物体运输机比空载时多消耗的电能为:滑动摩擦产生的热量、机械能的增加量之和.
解答:解:(1)轮子做圆周运动,根据公式:v=ωr
可得轮子转动的角速度为:ω=8rad/s
(2)要将物体运送到平台上,物体所受到的力应该满足:μmgcosθ>mgsinθ
tanθ<μ=0.75 所以θ<37°
(3)P物体放在皮带上先做匀加速运动,当速度达到皮带的速度时做匀速运动,物体匀加速运动时,根据牛顿第二定律可得:μmgcosθ-mgsinθ=ma
解得物体的加速度为:a=μgcosθ-gsinθ=1.5m/s2
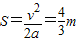
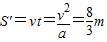
物体速度达到2m/s所经过的位移为
物体与皮带开始接触的点通过的位移为:
物体与皮带的相对位移为
因滑动摩擦产生的热量为:Q=μmgcosθ?△s=8.7J
因此运送此物体运输机比空载时多消耗的电能为:
答:(1)此时轮子转动的角速度是8rad/s;
(2)皮带的倾角θ最大不能超过37°;
(3)由于运送此物体,运输机比空载时多消耗的能量为60.7J.
点评:本题要注意物块在传送带上的运动情况,能正确对物体进行受力分析,难度适中.
(2)为了将地面上的物体运送到平台上,物体所受到的力应该满足:μmgcosθ>mgsinθ,进而求出倾角θ的范围;
(3)P物体放在皮带上先做匀加速运动,当速度达到皮带的速度时做匀速运动,物体匀加速运动时,根据牛顿第二定律可求出加速度,物体速度增加到与传送带速度相同时与传送带一起做匀速运动,求出物体与皮带的相对位移,根据Q=μmgcosθ?△s求出因滑动摩擦产生的热量,运送此物体运输机比空载时多消耗的电能为:滑动摩擦产生的热量、机械能的增加量之和.
解答:解:(1)轮子做圆周运动,根据公式:v=ωr
可得轮子转动的角速度为:ω=8rad/s
(2)要将物体运送到平台上,物体所受到的力应该满足:μmgcosθ>mgsinθ
tanθ<μ=0.75 所以θ<37°
(3)P物体放在皮带上先做匀加速运动,当速度达到皮带的速度时做匀速运动,物体匀加速运动时,根据牛顿第二定律可得:μmgcosθ-mgsinθ=ma
解得物体的加速度为:a=μgcosθ-gsinθ=1.5m/s2
物体速度达到2m/s所经过的位移为
物体与皮带开始接触的点通过的位移为:
物体与皮带的相对位移为
因滑动摩擦产生的热量为:Q=μmgcosθ?△s=8.7J
因此运送此物体运输机比空载时多消耗的电能为:
答:(1)此时轮子转动的角速度是8rad/s;
(2)皮带的倾角θ最大不能超过37°;
(3)由于运送此物体,运输机比空载时多消耗的能量为60.7J.
点评:本题要注意物块在传送带上的运动情况,能正确对物体进行受力分析,难度适中.
练习册系列答案
相关题目