题目内容

如图所示,在倾角=30°、足够长的斜面上分别固定着两个物体AB,相距L=0.2 m,它们的质量mAmB=1 kg,与斜面间的动摩擦因数分别为.在t=0时刻同时撤去固定两物体的外力后,A物体将沿斜面向下运动,并与B物体发生连续碰撞(碰撞时间极短,忽略不计),每次碰后两物体交换速度.g取10 m/s2.求:

(1)AB第一次碰后瞬时B的速率?

(2)从A开始运动到两物体第二次相碰经历多长时间?

(3)至第n次碰撞时AB两物体通过的路程分别是多少?

答案:
解析:

  (1)A物体沿斜面下滑时有

  

  ∴

  m/s2  (1分)

  B物体沿斜面下滑时有

  

  ∴

    (1分)

  综上分析可知,撤去固定AB的外力后,物体B恰好静止于斜面上,物体A将沿斜面向下做匀加速直线运动.  (1分)

  由运动学公式得AB第一次碰撞前的速度  (1分)

  由于AB碰撞后交换速度,故AB第一次碰后瞬时,B的速率  (1分)

  (2)从AB开始运动到第一次碰撞用时  (1分)

  两物体相碰后,A物体的速度变为零,以后再做匀加速运动,而B物体将以的速度沿斜面向下做匀速直线运动.  (1分)

  设再经t2时间相碰,则有  (1分)

  解之可得t2=0.8 s  (1分)

  故从A开始运动到两物体第二次相碰,共经历时间tt1t2=0.4+0.8=1.2 s  (2分)

  (3)从第2次碰撞开始,每次A物体运动到与B物体碰撞时,速度增加量均为Δv=at22.5×0.8 m/s=2 m/s,由于碰后速度交换,因而碰后B物体的速度为:

  第一次碰后:vB1=1 m/s

  第二次碰后:vB2=2 m/s

  第三次碰后:vB3=3 m/s

  ……

  第n次碰后:vBnnm/s

  每段时间内,B物体都做匀速直线运动,则第n次碰前所运动的距离为

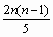
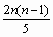
  sB=[1+2+3+……+(n-1)]×t2m(n=1,2,3,…,n-1)  (3分)

  A物体比B物体多运动L长度,则

  sALsB=[0.2+]m  (2分)


练习册系列答案
相关题目

违法和不良信息举报电话:027-86699610 举报邮箱:58377363@163.com

精英家教网