题目内容

一个有一定厚度的圆盘,可以绕通过中心垂直于盘面的水平轴转动,用下面的方法测量它匀速转动时的角速度.

实验器材:电磁打点计时器,米尺,纸带,复写纸.

实验步骤:

A.如图所示,将电磁打点计时器固定在桌面上,将纸带的一端穿过打点计时器的限位孔后,固定在待测圆盘的侧面上,使得圆盘转动时,纸带可以卷在圆盘侧面上.

B.启动控制装置使圆盘转动,同时接通电源,打点计时器开始打点.

C.经过一段时间,停止转动和打点,取了纸带,进行测量.

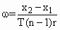
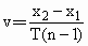
(1)由已知量和测得量表示的角速度的表达式为ω=________,式中各量的意义是:________.

(2)某次实验测得圆盘半径r=5.50×10-2 m,得到的纸带的一段如图所示,求得角速度为________.

答案:
解析:

解析:纸带移动速度,又υωr,因此.本题中T为电磁打点计时器打点的时间间隔,但题中示标明T=0.02 s,少数学生无法计算(2)的结果,当打点计时器接在50 Hz交流电上时,T才等于0.02 s,若交流电的频率不是50 Hz(如欧美、日本的交流电频率为60 Hz),则T不等于0.02 s.


练习册系列答案
相关题目

违法和不良信息举报电话:027-86699610 举报邮箱:58377363@163.com

精英家教网