ÌâÄ¿ÄÚÈÝ

¼×ËùʾÊÇÒ»ÖÖËÙ¶È´«¸ÐÆ÷µÄ¹¤×÷Ô­Àíͼ£¬ÔÚÕâ¸öϵͳÖÐBΪһ¸öÄÜ·¢É䳬Éù²¨µÄ¹Ì¶¨Ð¡ºÐ×Ó£¬¹¤×÷ʱСºÐ×ÓBÏò±»²âÎïÌå·¢³ö¶ÌÔݵij¬Éù²¨Âö³å£¬Âö³å±»Ô˶¯µÄÎïÌå·´ÉäºóÓÖ±»BºÐ½ÓÊÕ£¬´ÓBºÐ·¢É䳬Éù²¨¿ªÊ¼¼ÆÊ±£¬¾­Ê±¼ä¦¤t0Ôٴη¢É䳬Éù²¨Âö³å£¬Í¼ÒÒÊÇÁ¬ÐøÁ½´Î·¢ÉäµÄ³¬Éù²¨µÄÎ»ÒÆ¡ªÊ±¼äͼÏó£¬ÔòÒÔÏÂÕýÈ·µÄÊÇ£¨  £©

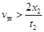
A£®³¬Éù²¨µÄËÙ¶ÈΪ

B£®³¬Éù²¨µÄËÙ¶ÈΪ

C£®ÎïÌåµÄƽ¾ùËÙ¶ÈΪ

D£®ÎïÌåµÄƽ¾ùËÙ¶ÈΪ

 

¡¾´ð°¸¡¿

AD

¡¾½âÎö¡¿

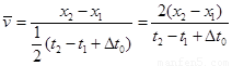
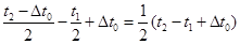
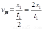
ÊÔÌâ·ÖÎö£ºA¡¢ÓÉͼ³¬Éù²¨ÔÚʱ¼äÄÚͨ¹ýÎ»ÒÆÎªx1£¬Ôò³¬Éù²¨µÄËÙ¶ÈΪ£®¹ÊAÕýÈ·£»B¡¢ÓÉͼ¿ÉÖª£º³¬Éù²¨Í¨¹ýÎ»ÒÆÎªx2ʱ£¬ËùÓÃʱ¼äΪ£¬Ôò³¬Éù²¨µÄËÙ¶ÈΪ¹ÊB´íÎó£»C¡¢DÓÉÌ⣺ÎïÌåͨ¹ýµÄÎ»ÒÆÎªx2 x1ʱ£¬ËùÓÃʱ¼äΪ£¬ÎïÌåµÄƽ¾ùËÙ¶È£¬¹ÊC´íÎó£¬DÕýÈ·¡£

¿¼µã£ºÔȱäËÙÖ±ÏßÔ˶¯µÄͼÏñ£»Æ½¾ùËÙ¶È

 

Á·Ï°²áϵÁдð°¸
Ïà¹ØÌâÄ¿

Î¥·¨ºÍ²»Á¼ÐÅÏ¢¾Ù±¨µç»°£º027-86699610 ¾Ù±¨ÓÊÏ䣺58377363@163.com

¾«Ó¢¼Ò½ÌÍø