题目内容
一颗人造地球卫星在离地面高度等于地球半径的圆形轨道上运行,其运行速度是地球第一宇宙速度的___________倍.
答案:略
解析:
解析:
|
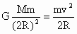
由 |
练习册系列答案
相关题目
人造地球卫星在地面附近绕地球做匀速圆周运动的速度为υ,角速度为ω,加速度为a,周期为T.有一颗人造地球卫星在离地面高度为地球半径的轨道上做匀速圆周运动,则( )
A、它的速度为
| ||
B、它的运动周期为
| ||
C、它的加速度为
| ||
| D、它的角速度为ω |