ÌâÄ¿ÄÚÈÝ
Èçͼ£¬ÔÚÊúÖ±ÃæÄÚµÄ×ø±êϵxoyÖУ¬xÖáÉÏ·½´æÔÚÊúÖ±ÏòϵÄÔÈÇ¿µç³¡£¬µç³¡Ç¿¶È E=12N/C£¬ÔÚxÖáÏ·½´æÔÚ´¹Ö±Ö½ÃæÏòÀïµÄÔÈÇ¿´Å³¡£¬´Å¸ÐӦǿ¶ÈB=2T£¬Ò»´øµçÁ¿Îªq=+3×10-4c¡¢ÖÊÁ¿Îªm=3.6×10-4kgµÄСÇò£¬´Ó£¨1m£¬0.5m£©´¦ÒÔ³õËÙ¶ÈvÑØxÖḺ·½ÏòÅ׳ö£¬¸ÕºÃ¾×ø±êÔµãÓëxÖá³É45°£¬ÑØÇÐÏß·½Ïò½øÈëͼÖа뾶ΪR1=£¨1£©Ð¡ÇòÅ׳öʱµÄ³õËÙ¶È£»
£¨2£©Ð¡Çòµ½´ï¹ìµÀ¢ñµÄ×îµÍµãʱ¶Ô¹ìµÀµÄѹÁ¦£»
£¨3£©ÈôСÇò´Ó´ÓµÚÒ»ÏóÏÞijλÖÃÑØxÖḺÏòÅ׳öºó¾ùÄÜͨ¹ý×ø±êÔµãÑØÇÐÏß·½Ïò½øÈë¹ìµÀ¢ñ£¬ÔÙÑØ¹ìµÀ¢òÍâ²àµ½´ï×î¸ßµã£¬ÇóСÇòÅ׳öµÄËùÓпÉÄÜλÖã®
¡¾´ð°¸¡¿·ÖÎö£º£¨1£©Ð¡Çò ÔÚµÚÒ»ÏóÏÞÊܵ½ÖØÁ¦ºÍµç³¡Á¦×÷ÓÃ×öÀàÆ½Å×Ô˶¯£¬ÓÉÅ£¶ÙµÚ¶þ¶¨ÂɺÍÔ˶¯Ñ§¹«Ê½½áºÏÇó³õËÙ¶È£»
£¨2£©Ð¡Çò½øÈë¹â»¬Ô²»¡¹ìµÀ¢ñ×öÔ²ÖÜÔ˶¯£¬¾¹ý¹ìµÀ×îµÍµãʱ£¬ÓÉÂåÂ××ÈÁ¦¡¢¹ìµÀµÄÖ§³ÖÁ¦ºÍÖØÁ¦µÄºÏÁ¦ÌṩÏòÐÄÁ¦£¬Ïȸù¾Ý¶¯Äܶ¨ÀíÑо¿´ÓÅ׳öµ½×îµÍµãµÄ¹ý³Ì£¬Çó³ö¾¹ý×îµÍµãʱµÄËÙ¶È£¬ÔÙÓÉÅ£¶ÙµÚ¶þ¶¨ÂÉÇó¹ìµÀ¶ÔСÇòµÄÖ§³ÖÁ¦£¬ÓÉÅ£¶ÙµÚÈý¶¨Âɵõ½Ð¡Çò¶Ô¹ìµÀµÄѹÁ¦£»
£¨3£©Ð¡Çò´ï×ø±êÔµãʱµÄËÙ¶ÈÆ«Ïò½ÇΪ45°£¬Ð¡ÇòÅ׳öµãµÄλÖñØÔÚ·½³Ì
ÉÏ£®·ÖÁ½ÖÖÇé¿öÌÖÂÛ£º
£¨¢ñ£©ÉèСÇò´Ó£¨x2£¬y2£©´¦ÒÔ³õËÙ¶Èv01Å׳ö£¬´ï¹ìµÀ¢ò×î¸ßµãµÄËÙ¶ÈΪÁ㣻
£¨¢ò£©ÉèСÇò´Ó£¨x3£¬y3£©´¦ÒÔ³õËÙ¶Èv02Å׳ö£¬´ï¹ìµÀ¢ò×î¸ßµãµÄ×î´óËÙ¶ÈΪv2£»
¸ù¾Ý¶¯Äܶ¨ÀíºÍÀàÆ½Å×Ô˶¯µÄ¹æÂɽáºÏ£¬Çó³öСÇòÅ׳öµÄËùÓпÉÄÜλÖã®
½â´ð£º½â£º£¨1£©ÓÉÌâÒâÖª£ºEq=mg=3.6×10-3N£¬Ôò£º
ÓÉ
µÃ t=
s
ÓÉx1=vt µÃ
m/s
£¨2£©ÉèСÇòµ½´ï¹ìµÀ¢ñ×îµ×µãµÄËÙ¶ÈΪv1£¬ËùÊÜÖ§³ÖÁ¦ÎªFN£¬Â廯×ÈÁ¦ÎªFB£¬Ôò£º

´úÈëÊý¾ÝµÃ£ºv1=8m/s
ÔÚ¹ìµÀ¢ñµÄ×îµÍµã£¬ÓÐ
´úÈëÊý¾ÝµÃ FN=1.27×10-2N
¼´´ËʱСÇò¶Ô¹ìµÀ¢ñµÄѹÁ¦Îª1.27×10-2N
£¨3£©ÒòСÇò´ï×ø±êÔµãʱµÄËÙ¶ÈÆ«Ïò½ÇΪ45°£¬ÔòСÇòµÄÎ»ÒÆÆ«Ïò½ÇÕýÇÐֵΪ0.5£¬¼´Ð¡ÇòÅ׳öµãµÄλÖñØÔÚ·½³Ì
ÉÏ£®
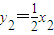
£¨¢ñ£©ÉèСÇò´Ó£¨x2£¬y2£©´¦ÒÔ³õËÙ¶Èv01Å׳ö£¬´ï¹ìµÀ¢ò×î¸ßµãµÄËÙ¶ÈΪÁ㣬Ôò£º

´úÈëÊý¾Ý²¢»¯¼òµÃ£º
ÓÉ£º
µÃ£º20t2=v01
ÓÉÉÏÁ½Ê½µÃ£º
s
£¨m/s£©
¹Ê£º
£¨m£©
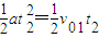
£¨¢ò£©ÉèСÇò´Ó£¨x3£¬y3£©´¦ÒÔ³õËÙ¶Èv02Å׳ö£¬´ï¹ìµÀ¢ò×î¸ßµãµÄ×î´óËÙ¶ÈΪv2£¬Ôò£º


´úÈëÊý¾Ý²¢»¯¼òµÃ£º
µÃ£º
s
m/s
ÔòµÃ
m
ÓÉ´Ë¿ÉÖª£ºÒªÈÃСÇòµ½´ï¹ìµÀ¢òµÄ×î¸ßµã£¬Ð¡ÇòÅ׳öµÄλÖÃÔÚ
ÉÏ£¬
Çø¼äΪ3m¡Üx¡Ü
m
´ð£º
£¨1£©Ð¡ÇòÅ׳öʱµÄ³õËÙ¶ÈÊÇ2
m£»
£¨2£©Ð¡Çò¶Ô¹ìµÀ¢ñµÄѹÁ¦Îª4.56×10-3N£»
£¨3£©ÒªÈÃСÇòµ½´ï¹ìµÀ¢òµÄ×î¸ßµã£¬Ð¡ÇòÅ׳öµÄλÖÃÔÚ
ÉÏ£¬Çø¼äΪ3m¡Üx¡Ü
m£®
µãÆÀ£º±¾ÌâÊÇ´øµçÁ£×Ó×öÔ²ÖÜÔ˶¯ÓëÀàÆ½Å×Ô˶¯ÖУ¬ÔËÓö¯Äܶ¨Àí¡¢Å£¶ÙµÚ¶þ¶¨ÂÉÓëÔ˶¯Ñ§¹«Ê½£¬²¢½áºÏÊýѧ֪ʶÀ´´¦ÀíÕâÁ½ÖÖÔ˶¯£®
£¨2£©Ð¡Çò½øÈë¹â»¬Ô²»¡¹ìµÀ¢ñ×öÔ²ÖÜÔ˶¯£¬¾¹ý¹ìµÀ×îµÍµãʱ£¬ÓÉÂåÂ××ÈÁ¦¡¢¹ìµÀµÄÖ§³ÖÁ¦ºÍÖØÁ¦µÄºÏÁ¦ÌṩÏòÐÄÁ¦£¬Ïȸù¾Ý¶¯Äܶ¨ÀíÑо¿´ÓÅ׳öµ½×îµÍµãµÄ¹ý³Ì£¬Çó³ö¾¹ý×îµÍµãʱµÄËÙ¶È£¬ÔÙÓÉÅ£¶ÙµÚ¶þ¶¨ÂÉÇó¹ìµÀ¶ÔСÇòµÄÖ§³ÖÁ¦£¬ÓÉÅ£¶ÙµÚÈý¶¨Âɵõ½Ð¡Çò¶Ô¹ìµÀµÄѹÁ¦£»
£¨3£©Ð¡Çò´ï×ø±êÔµãʱµÄËÙ¶ÈÆ«Ïò½ÇΪ45°£¬Ð¡ÇòÅ׳öµãµÄλÖñØÔÚ·½³Ì
£¨¢ñ£©ÉèСÇò´Ó£¨x2£¬y2£©´¦ÒÔ³õËÙ¶Èv01Å׳ö£¬´ï¹ìµÀ¢ò×î¸ßµãµÄËÙ¶ÈΪÁ㣻
£¨¢ò£©ÉèСÇò´Ó£¨x3£¬y3£©´¦ÒÔ³õËÙ¶Èv02Å׳ö£¬´ï¹ìµÀ¢ò×î¸ßµãµÄ×î´óËÙ¶ÈΪv2£»
¸ù¾Ý¶¯Äܶ¨ÀíºÍÀàÆ½Å×Ô˶¯µÄ¹æÂɽáºÏ£¬Çó³öСÇòÅ׳öµÄËùÓпÉÄÜλÖã®
½â´ð£º½â£º£¨1£©ÓÉÌâÒâÖª£ºEq=mg=3.6×10-3N£¬Ôò£º
ÓÉ
ÓÉx1=vt µÃ
£¨2£©ÉèСÇòµ½´ï¹ìµÀ¢ñ×îµ×µãµÄËÙ¶ÈΪv1£¬ËùÊÜÖ§³ÖÁ¦ÎªFN£¬Â廯×ÈÁ¦ÎªFB£¬Ôò£º
´úÈëÊý¾ÝµÃ£ºv1=8m/s
ÔÚ¹ìµÀ¢ñµÄ×îµÍµã£¬ÓÐ
´úÈëÊý¾ÝµÃ FN=1.27×10-2N
¼´´ËʱСÇò¶Ô¹ìµÀ¢ñµÄѹÁ¦Îª1.27×10-2N
£¨3£©ÒòСÇò´ï×ø±êÔµãʱµÄËÙ¶ÈÆ«Ïò½ÇΪ45°£¬ÔòСÇòµÄÎ»ÒÆÆ«Ïò½ÇÕýÇÐֵΪ0.5£¬¼´Ð¡ÇòÅ׳öµãµÄλÖñØÔÚ·½³Ì
£¨¢ñ£©ÉèСÇò´Ó£¨x2£¬y2£©´¦ÒÔ³õËÙ¶Èv01Å׳ö£¬´ï¹ìµÀ¢ò×î¸ßµãµÄËÙ¶ÈΪÁ㣬Ôò£º
´úÈëÊý¾Ý²¢»¯¼òµÃ£º
ÓÉ£º
ÓÉÉÏÁ½Ê½µÃ£º
¹Ê£º
£¨¢ò£©ÉèСÇò´Ó£¨x3£¬y3£©´¦ÒÔ³õËÙ¶Èv02Å׳ö£¬´ï¹ìµÀ¢ò×î¸ßµãµÄ×î´óËÙ¶ÈΪv2£¬Ôò£º
´úÈëÊý¾Ý²¢»¯¼òµÃ£º
µÃ£º
ÔòµÃ
ÓÉ´Ë¿ÉÖª£ºÒªÈÃСÇòµ½´ï¹ìµÀ¢òµÄ×î¸ßµã£¬Ð¡ÇòÅ׳öµÄλÖÃÔÚ
Çø¼äΪ3m¡Üx¡Ü
´ð£º
£¨1£©Ð¡ÇòÅ׳öʱµÄ³õËÙ¶ÈÊÇ2
£¨2£©Ð¡Çò¶Ô¹ìµÀ¢ñµÄѹÁ¦Îª4.56×10-3N£»
£¨3£©ÒªÈÃСÇòµ½´ï¹ìµÀ¢òµÄ×î¸ßµã£¬Ð¡ÇòÅ׳öµÄλÖÃÔÚ
µãÆÀ£º±¾ÌâÊÇ´øµçÁ£×Ó×öÔ²ÖÜÔ˶¯ÓëÀàÆ½Å×Ô˶¯ÖУ¬ÔËÓö¯Äܶ¨Àí¡¢Å£¶ÙµÚ¶þ¶¨ÂÉÓëÔ˶¯Ñ§¹«Ê½£¬²¢½áºÏÊýѧ֪ʶÀ´´¦ÀíÕâÁ½ÖÖÔ˶¯£®
Á·Ï°²áϵÁдð°¸
Ïà¹ØÌâÄ¿