题目内容
天空有近似等高的浓云层.为了测量云层的高度,在水平地面上与观测者的距离为d=3.0km处进行一次爆炸,观测者听到由空气直接传来的爆炸声和由云层反射来的爆炸声时间上相差△t=6.0s.试估算云层下表面的高度.已知空气中的声速v=
【答案】分析:要求云层的高度需要求出经云层反射的声波传播的距离vt,t由题意可以得出,而后根据勾股定理即可求出高度h.
解答:
解:如图,A表示爆炸处,O表示反射点,S表示观测者所在处,h表示云层下表面的高度.用t1表示爆炸声从A直接传到s处所经时间,则有d=vt1 …①
用t2表示爆炸声经云层反射到达s处所经历时间,因为入射角等于反射角,故有
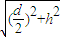
2
=vt2 …②
已知t2-t1=△t …③
联立①②③式,可得
h=
代入数值得h=2.0×103m
故云层下表面的高度为2.0×103m.
点评:画出声波传播的路线图即可化抽象为直观,有效降低题目难度.
解答:
用t2表示爆炸声经云层反射到达s处所经历时间,因为入射角等于反射角,故有
2
已知t2-t1=△t …③
联立①②③式,可得
h=
代入数值得h=2.0×103m
故云层下表面的高度为2.0×103m.
点评:画出声波传播的路线图即可化抽象为直观,有效降低题目难度.
练习册系列答案
相关题目