题目内容
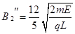
(19分)如图所示,边长为
的正方形PQMN区域内(含边界)有垂直纸面向外的匀强磁场,左侧有水平向右的匀强电场,场强大小为
,质量为
、电荷量为
的带正电粒子从O点由静止开始释放,O、P、Q三点在同一水平直线上,OP=L,带电粒子恰好从M点离开磁场,不计带电粒子重力,求:
![]()
(1)磁感应强度大小
;
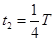
(2)粒子从O点运动到M点经历的时间;
(3)若磁场磁感应强度可调节(不考虑磁场变化产生的电磁感应),带电粒子从边界NM上的
点离开磁场,
与N点距离为
,求磁场磁感应强度的可能数值.
(1)
(2)
(3)
、
或![]()
【解析】
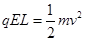
试题分析: (1)设粒子运动到P点时速度大小为v,有
(2分)
粒子在匀强磁场中做匀速圆周运动,半径
(1分)
(2分)
解得:
(2分)
(2)设粒子在匀强电场中运动时间为
,有
(2分)
粒子在匀强磁场中做匀速圆周运动周期
,运动时间为
解得:
(2分)
粒子从O点运动到M经历的时间
(2分)
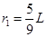
(3)若粒子在匀强磁场中做匀速圆周运动半径为
,且![]()
由几何关系得:
解得:![]()
由
得:
(2分)
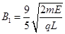
同理,若
![]()
解得:
(2分)
(2分)
磁场磁感应强度的可能数值为:
、
和![]()
考点:本题考查了带电粒子在电场和磁场中的运动、动能定律、匀速圆周运动规律。
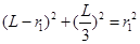
(19 分)如图所示,正方形单匝均匀线框abcd,边长L=0.4m,每边电阻相等,总电阻R=0.5Ω。 一根足够长的绝缘轻质细线跨过两个轻质光滑定滑轮,一端连接正方形线框,另一端连接绝缘物体P,物体P放在一个光滑的足够长的固定斜面上,斜面倾角θ=30°,斜面上方的细线与斜面平行。在正方形线框正下方有一有界的勻强磁场,上边界I和下边界II都水平, 两边界之间距离也是L=0.4m。磁场方向水平,垂直纸面向里,磁感应强度大小B=0.5T。 现让正方形线框的cd边距上边界I的正上方高度h=0.9m的位置由静止释放,且线框在运动过程中始终与磁场垂直,cd边始终保持水平,物体P始终在斜面上运动,线框刚好能 以v =3m/S的速度进入勻强磁场并匀速通过匀强磁场区域。释放前细线绷紧,重力加速度 g=10m/s2,不计空气阻力。
![]()
(1)线框的cd边在匀强磁场中运动的过程中,c、d间的电压是多大?
(2)线框的质量m1和物体P的质量m2分别是多大?
(3)在cd边刚进入磁场时,给线框施加一个竖直向下的拉力F使线框以进入磁场前的加速度匀加速通过磁场区域,在此过程中,力F做功W=0.23J,求正方形线框cd边产生的焦耳热是多少?