题目内容

如图所示,长木板A上右端有一物块B,它们一起在光滑的水平面上向左做匀速运动,速度v0=2.0 m/s.木板左侧有一个与木板A等高的固定物体C.已知长木板A的质量为mA=1.0 kg,物块B的质量为mB=3.0 kg,物块B与木板A间的动摩擦因数μ=0.5,取g=10 m/s2

(1)若木板A足够长,A与C第一次碰撞后,A立即与C粘在一起,求物块B在木板A上滑行的距离是多少;

(2)若木板A足够长,A与C发生碰撞后弹回(碰撞时间极短,没有机械能损失),求第一次碰撞后A、B具有共同运动的速度;

答案:
解析:

  解:(1)AC碰撞后速度即变为0,而B将继续运动,受摩擦力作用,速度由v0减到0,由动能定理

  (3分)

  L=0.40 m(1分)

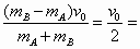
  (2)AC发生弹性碰撞后,速度大小仍为v0,方向相反,以AB为研究对象,设AB有共同的速度v,水平方向不受外力作用,系统动量守恒,设向左为正

  (3分)

  v1 m/s,(2分)

  方向水平向左(1分)


练习册系列答案
相关题目

违法和不良信息举报电话:027-86699610 举报邮箱:58377363@163.com

精英家教网