题目内容

(12分)如图所示,有一束电子流在经电压U=5000V的加速电压加速后,在距两极板等距处垂直进入平形板间的匀强电场,若两板间距为d=1.0cm,板长 L=5.0cm ,要使电子能从两板间飞出,两个极板上最多能加多大电压?

 

 

【答案】

【解析】

试题分析:加速过程,由动能定理:

进入偏转电场,有:

偏转距离:

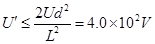
能飞出的条件为:

联立解得:

考点:带电粒子在匀强电场中的运动

 

练习册系列答案
相关题目

违法和不良信息举报电话:027-86699610 举报邮箱:58377363@163.com

精英家教网