题目内容
(1)小球到达C点时的速度
(2)小球达到C点时对轨道的压力
(3)要使小球刚好能运动到D点,小球开始运动的位置应离B点多远?
【答案】分析:(1)应用动能定理研究小球由A→C的过程,求出小球在C点的速度大小,
(2)对小球在C点进行受力分析,找出径向提供向心力的外力,应用牛顿第二定律求出小球达到C点时对轨道的压力;
(3)应用动能定理与牛顿第二定律可求出小球开始运动的位置离B点的距离.
解答:解:(1)、(2)如图所示,设小球在C点的速度大小是vC,对轨道的压力大小为NC,则对于小球由A→C的过程中,应用动能定理列出:
,
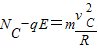
在C点的圆轨道处,由牛顿第二定律有:
,
解得:

(3)如图所示,设小球初始位置应在离B点xm的A'点,对小球由A'→D的过程应用动能定理有:
,
在D点的圆轨道处由牛顿第二定律有:
,
解得
答:(1)小球到达C点时的速度2m/s;
(2)小球达到C点时对轨道的压力0.3N;
(3)要使小球刚好能运动到D点,小球开始运动的位置应离B点0.5m.
点评:在本题中物体不仅受重力的作用,还有电场力,在解题的过程中,一定要分析清楚物体的受力和运动过程,根据动能定理和牛顿第二定律灵活列式求解.
(2)对小球在C点进行受力分析,找出径向提供向心力的外力,应用牛顿第二定律求出小球达到C点时对轨道的压力;
(3)应用动能定理与牛顿第二定律可求出小球开始运动的位置离B点的距离.
解答:解:(1)、(2)如图所示,设小球在C点的速度大小是vC,对轨道的压力大小为NC,则对于小球由A→C的过程中,应用动能定理列出:
在C点的圆轨道处,由牛顿第二定律有:
解得:
(3)如图所示,设小球初始位置应在离B点xm的A'点,对小球由A'→D的过程应用动能定理有:
在D点的圆轨道处由牛顿第二定律有:
解得
答:(1)小球到达C点时的速度2m/s;
(2)小球达到C点时对轨道的压力0.3N;
(3)要使小球刚好能运动到D点,小球开始运动的位置应离B点0.5m.
点评:在本题中物体不仅受重力的作用,还有电场力,在解题的过程中,一定要分析清楚物体的受力和运动过程,根据动能定理和牛顿第二定律灵活列式求解.
练习册系列答案
相关题目