题目内容
(多选)平抛运动可以分解为水平和竖直方向的两个直线运动,在同一坐标系中作出这两个分运动的v-t图线,如图所示.若平抛运动的时间大于2t1,下列说法中正确的是( )
![]()
A.图线2表示竖直分运动的v-t图线
B.t1时刻的速度方向与初速度方向夹角为30°
C.t1时间内的竖直位移与水平位移之比为1∶2
D.2t1时刻的速度方向与初速度方向夹角为60°
【答案】
AC
【解析】
![]()
![]()
试题分析:图线2描述初速度为0的匀加速直线运动,由本题描述平抛运动的竖起分运动,A正确;由图象知t1时刻竖直分速度与初速度大小相等Vy=v0,
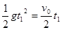
如上图,速度方向与初速度方向夹角为45°,B错;在t1时间内,水平位移x=V0t1,竖直位移y=
,x:y=1:2,C正确;2t1时刻竖直分速度为2V0,如上图,速度方向与初速度方向夹角为63.4°,D错。
考点:本题考查平抛运动的规律。
练习册系列答案
相关题目
在做“研究平抛运动的实验”时,让小球多次沿同一轨迹运动,通过描点法画出小球作平抛运动的轨迹,再进行数据处理.下面列出了一些操作及要求,其中正确的是( )
| A、斜槽末端应保持水平 | B、每次释放小球位置可以不同 | C、小球运动时不应与木板上的白纸相触 | D、计算选点时只能选择小球运动时直接标记的点,不能选作图连成的光滑曲线上的点 |