题目内容

在测量电源的电动势和内阻的实验中,由于所用电压表(视为理想电压表)的量程较小,某同学设计了如图所示的实物电路.

(1)实验时,应先将电阻箱的电阻调到________.(选填“最大值”、“最小值”或“任意值”)

(2)改变电阻箱的阻值R,分别测出阻值的定值电阻两端的电压U.下列两组R的取值方案中,比较合理的方案是________.(选填“1”或“2”)

方案编号

电阻箱的阻值R

 

 

 

 

1

400.0

350.0

300.0

250.0

200.0

2

80.0

70.0

60.0

50.0

40.0

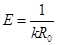
(3)根据实验数据描点,绘出的图象是一条直线.若直线的斜率为k,在坐标轴上的截距为b,则该电源的电动势E=________,内阻r________.(用kbR0表示)

 

【答案】

(1)最大值 (2)2 (3)  

【解析】

试题分析:(1)电阻箱接入回路中的电阻越大,回路电流越小,起保护电源,防止烧坏电压表的作用.

(2) 由表格可知,方案1中电阻箱的阻值与定值电阻差别太大,导致电路中电流差别太小;而方案2中电阻箱的阻与与待测电阻相差不多,故可以得出较为合理的电流值,故应选择方案2 

(3) 由闭合电路欧姆定律可知,变形得:

由题意可知,斜率为k,即:解得联立解得:

考点:测定电源的电动势和内阻.

点评:本题考查实验测定电动势和内电阻;注意本实验中实验电路较为简单,但要注意数据的处理的掌握,特别是图象法的应用.

 

练习册系列答案
相关题目
(1)在利用重锤下落验证机械能守恒定律的实验中:

①下面叙述正确的是
BD
BD

A、应该用天平称出物体的质量.
B、应该选用点迹清晰,第一、二两点间的距离接近2mm的纸带.
C、操作时应先放纸带再通电.
D、打点计时器应接在电压为4~6V的交流电源上.
②有下列器材可供选用:铁架台,打点计时器,复写纸,纸带,重锤,低压交流电源,导线,电键,天平.其中不必要的器材有
天平
天平
;缺少的器材是
刻度尺
刻度尺

③实验中用打点计时器打出的纸带如图所示,其中,A为打下的第1个点,C、D、E、F为距A较远的连续选取的四个点(其他点未标出).C、D、E、F到A的距离分别为s1,s2,s3,s4,重锤的质量为m,电源的频率为f,实验地点的重力加速度为g.根据以上条件写出:打下D点时重锤速度表达式v=
1
2
f(
S
 
3
-
S
 
1
1
2
f(
S
 
3
-
S
 
1
,重锤重力势能减少量表达式△Ep=
mg
S
 
2
mg
S
 
2
,重锤动能增加量表达式△Ex=
1
8
m
f
2
 
(S
 
3
-S
 
1
)
2
 
1
8
m
f
2
 
(S
 
3
-S
 
1
)
2
 
. (用s1,s2,s3,s4,m,f,g等字母表达)
(2)在测量电源的电动势和内阻的实验中,由于所用的电压表(视为理想电压表)的量程较小,某同学设计了如图所示的实物电路.
①试验时,应先将电阻箱的电阻调到
最大值
最大值
.(选填“最大值”、“最小值”或“任意值”)
②改变电阻箱的阻值R,分别测出阻值R0=10Ω的定值电阻两端的电压U,下列两组R的取值方案中,比较合理的方案是
2
2
.(选填“1”或“2”)
方案编号 电阻箱的阻值R/Ω
1 400.0 350.0 300.0 250.0 200.0
2 80.0 70.0 60.0 50.0 40.0
③根据实验数据描点,绘出的
1
U
-R图象是一条直线.若直线的斜率为k,在
1
U
坐标轴上的截距为b,则该电源的电动势E=
1
kR
 
0
1
kR
 
0
,内阻r=
b
k
-R
 
0
b
k
-R
 
0
(用k、b和R0表示)

违法和不良信息举报电话:027-86699610 举报邮箱:58377363@163.com

精英家教网