题目内容

利用打点计时器测定做匀加速直线运动的小车的加速度,如图中给出了该次实验得到的纸带,从0点开始每5个点取一个计数点,其中的0、1、2、3、4、5、6都为计数点.测得,求:(1)小车在0~1s内的平均速度,1~2s内的平均速度,0~2s内的平均速度,2~3s内的平均速度,1~3s内的平均速度.(2)在计时器打出点1、2、3、4、5时,小车的速度分别是多少?

答案:略
解析:

0.140m/s0.190m/s0.165m/s0.238m/s0.214m/s;0.165m/s0.214m/s0.263m/s0.314m/s0.363m/s

(1)由平均速度的定义式:,得01s内的平均速度

12s内的平均速度

02s内的平均速度

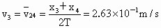
23s内的平均速度

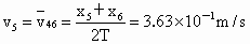
13s内的平均速度

(2)在打点计时器打出点123、…时小车的速度对应纸带上某一点的瞬时的速度,由于时间间隔比较小,我们可以用02s内的平均速度表示第1s末的瞬时速度.

同理其他各点的瞬时速度

平均速度与一段时间(或位移)对应,而瞬时速度与一个时刻(或位置)对应,当与平均速度所对应的时间间隔Δt足够小时,就可以用平均速度来表示该时间中点时刻的瞬时速度了.


练习册系列答案
相关题目

违法和不良信息举报电话:027-86699610 举报邮箱:58377363@163.com

精英家教网