题目内容
质量为m的探月航天器在接近月球表面的轨道上飞行,其运动视为匀速圆周运动。已知月球质量为M,月球半径为R,月球表面重力加速度为g,引力常量为G,不考虑月球自转的影响,则航天器的( )
A.线速度
B.角速度ω=![]()
C.运行周期
D.向心加速度![]()
【答案】
C
【解析】
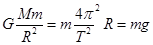
试题分析:航天器受到的万有引力做为它做圆周运动和向心力,因此
,可知航天器飞行的线速度
,A错误;根据
,可知
,B错误;根据
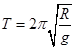
得,运行周期
,C正确;
。可知向心加速度
,D错误。
考点:万有引力,圆周运动。
练习册系列答案
相关题目
质量为m的探月航天器在离月球表面高度为R的轨道上飞行,其运动视为匀速圆周运动.已知月球质量为M,月球半径也为R,月球表面重力加速度为g,引力常量为G,不考虑月球自转的影响,则航天器的( )
A、角速度ω=
| ||||
B、线速度v=
| ||||
C、运行周期T=2π
| ||||
D、向心加速度a=
|