题目内容

一个做匀加速直线运动的质点,在连续相等的两个时间间隔内,通过的位移分别是24m和64m,每一个时间间隔为4s,则质点的初速度和加速,分别是_______m/s和_______

答案:1;2.5
解析:

匀变速直线运动的规律可用多个公式描述,因而选择不同的公式,所对应的解决方法也不相同.

解法Ⅰ:基本公式法

画出运动过程示意图,如图所示,因题目中只涉及位移与时间,故选择位移公式:

代入上式解得:

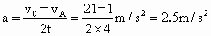
解法Ⅱ:用平均速度公式

连续的两段时间t内的平均速度分别为:

B点是AC段的中间时刻,则

得:

解法Ⅲ:用特殊式

判别式解:

,得

再由,解得

(1)运动学问题的求解一般均有多种解法,进行一题多解训练可以熟练地掌握运动学规律,提高灵活运用知识的能力.从多种解法的对比中进一步明确解题的基本思路和方法,从而提高解题能力.

(2)对一般的匀变速直线运动问题,若出现相等的时间间隔问题,应优先考虑用判别式求解,这种解法往往更简捷.


练习册系列答案
相关题目

违法和不良信息举报电话:027-86699610 举报邮箱:58377363@163.com

精英家教网