题目内容
在勇气号火星探测器着陆的最后阶段,着陆器降落到火星表面上,再经过多次弹跳才停下来。假设着陆器第一次落到火星表面弹起后,到达最高点时高度为h,速度方向是水平的,速度大小为v0。已知火星的一个卫星的圆轨道的半径为r,周期为T。火星可视为半径为R的均匀球体。求:
(1)火星表面的重力加速度;
(2)求卫星第二次落到火星表面时速度的大小,不计火星大气阻力。
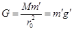
(1)g=
4分 (2)![]()
【解析】
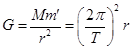
试题分析:以g′,表示火星表面附近的重力加速度, M表示火星的质量,m表示火星的卫星的质量,m′,表示火星表面处某一物体的质量,由万有引力定律和牛顿第二定律,有
![]()
![]()
设V表示着陆器第二次落到火星表面时的速度,它的竖直分量为v1,水平分量仍为v0,有
=2g′h,v=
由以上各式解得
,![]()
考点:考查了万有引力定律的应用
点评:本题的易错点在于不清楚着陆器运动过程而出错.不能将地球上的运动过程类比到火星上.
2004年1月25日,继“勇气”号之后,“机遇”号火星探测器再次成功登陆火星.在人类成功登陆火星之前,人类为了探测距离地球大约3.O×105km的月球,也发射了一种类似四轮小车的月球探测器.它能够在自动导航系统的控制下行走,且每隔10 s向地球发射一次信号.探测器上还装着两个相同的减速器(其中一个是备用的),这种减速器可提供的最大加速度为5 m/s2.某次探测器的自动导航系统出现故障,从而使探测器只能匀速前进而不再能自动避开障碍物.此时地球上的科学家必须对探测器进行人工遥控操作.下表为控制中心的显示屏的数据:
| 收到信号时间 | 与前方障碍物距离(单位:m) |
| 9:1020 | 52 |
| 9:1030 | 32 |
| 发射信号时间 | 给减速器设定的加速度(单位:m/s2) |
| 9:1033 | 2 |
| 收到信号时间 | 与前方障碍物距离(单位:m) |
| 9:1040 | 12 |
已知控制中心的信号发射与接收设备工作速度极快.科学家每次分析数据并输入命令最少需要3 s.问:
(1)经过数据分析,你认为减速器是否执行了减速命令?
(2)假如你是控制中心的工作人员,应采取怎样的措施?加速度需满足什么条件?请计算说明.