ÌâÄ¿ÄÚÈÝ
£¨1£©¹ÀËãÉñÖÛÆßºÅ·É´¬ÔÚ¹ìÔËÐеļÓËÙ¶È´óС£»
£¨2£©ÒÑÖª´óÎ÷ÑóÐÇ¾àµØÃæµÄ¸ß¶ÈԼΪµØÇò°ë¾¶µÄ6±¶£¬¹ÀËã´óÎ÷ÑóÐǵÄËÙÂÊ£®
¡¾´ð°¸¡¿·ÖÎö£º£¨1£©¸ù¾ÝÍòÓÐÒýÁ¦ÌṩÏòÐÄÁ¦
ÒÔ¼°ÍòÓÐÒýÁ¦µÈÓÚÖØÁ¦
Çó³öÉñÖÛÆßºÅ·É´¬ÔÚ¹ìÔËÐеļÓËÙ¶È´óС£®
£¨2£©¸ù¾ÝÍòÓÐÒýÁ¦ÌṩÏòÐÄÁ¦
ÒÔ¼°ÍòÓÐÒýÁ¦µÈÓÚÖØÁ¦
Çó³ö´óÎ÷ÑóÐǵÄËÙÂÊ£®
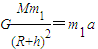
½â´ð£º½â£º£¨1£©·É´¬ÈƵØÇò×öÔÈËÙÔ²ÖÜÔ˶¯µÄ¼ÓËÙ¶ÈΪa£¬·É´¬ÖÊÁ¿Îªm1£¬ÓÉÍòÓÐÒýÁ¦¶¨ÂɺÍÅ£¶ÙµÚ¶þ¶¨Âɵãº

h=
ÓÉÎïÌåÔÚµØÇò±íÃæÊܵ½µÄÍòÓÐÒýÁ¦½üËÆµÈÓÚÖØÁ¦µÃ£º

ÁªÁ¢ÈýʽµÃ£¬
¹ÊÉñÖÛÆßºÅ·É´¬ÔÚ¹ìÔËÐеļÓËÙ¶È´óСΪ0.91g£®
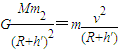
£¨2£©´óÎ÷ÑóÐÇÈÆµØÇò×öÔÈËÙÔ²ÖÜÔ˶¯µÄËÙ¶ÈΪv£¬ÖÊÁ¿Îªm2£¬ÓÉÍòÓÐÒýÁ¦¶¨ÂɺÍÅ£¶ÙµÚ¶þ¶¨Âɵãº

h¡ä=6R
½âµÃ
£®
¹Ê´óÎ÷ÑóÐǵÄËÙÂÊ
£®
µãÆÀ£º½â¾ö±¾ÌâµÄ¹Ø¼üÕÆÎÕ¸ù¾ÝÍòÓÐÒýÁ¦ÌṩÏòÐÄÁ¦
ÒÔ¼°ÍòÓÐÒýÁ¦µÈÓÚÖØÁ¦
£®
£¨2£©¸ù¾ÝÍòÓÐÒýÁ¦ÌṩÏòÐÄÁ¦
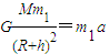
½â´ð£º½â£º£¨1£©·É´¬ÈƵØÇò×öÔÈËÙÔ²ÖÜÔ˶¯µÄ¼ÓËÙ¶ÈΪa£¬·É´¬ÖÊÁ¿Îªm1£¬ÓÉÍòÓÐÒýÁ¦¶¨ÂɺÍÅ£¶ÙµÚ¶þ¶¨Âɵãº
h=
ÓÉÎïÌåÔÚµØÇò±íÃæÊܵ½µÄÍòÓÐÒýÁ¦½üËÆµÈÓÚÖØÁ¦µÃ£º
ÁªÁ¢ÈýʽµÃ£¬
¹ÊÉñÖÛÆßºÅ·É´¬ÔÚ¹ìÔËÐеļÓËÙ¶È´óСΪ0.91g£®
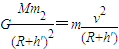
£¨2£©´óÎ÷ÑóÐÇÈÆµØÇò×öÔÈËÙÔ²ÖÜÔ˶¯µÄËÙ¶ÈΪv£¬ÖÊÁ¿Îªm2£¬ÓÉÍòÓÐÒýÁ¦¶¨ÂɺÍÅ£¶ÙµÚ¶þ¶¨Âɵãº
h¡ä=6R
½âµÃ
¹Ê´óÎ÷ÑóÐǵÄËÙÂÊ
µãÆÀ£º½â¾ö±¾ÌâµÄ¹Ø¼üÕÆÎÕ¸ù¾ÝÍòÓÐÒýÁ¦ÌṩÏòÐÄÁ¦
Á·Ï°²áϵÁдð°¸
Ïà¹ØÌâÄ¿