题目内容
做匀加速直线运动的物体,先后经过A、B两点时,其速度分别为v和7v,经历时间为t,则下列判断中正确的是( )A.经过A、B中点时速度为5v
B.经过A、B中点时速度为4v
C.从A到B所需时间的中间时刻的速度为4v
D.在后一半时间所通过的距离比前一半时间通过的距离多1.5vt
【答案】分析:解决本题需要掌握:匀变速直线运动的时间中点和位移中点的速度公式,明确公式适用条件和物理量意义.然后直接利用公式求解即可.
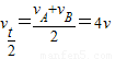
解答:解:在匀变速直线运动中
,时间中点的速度为:
,故AC正确,B错误;
在匀变速运动中,时间中点的速度等于全过程中的平均速度,所以前半时间的平均速度为
,后半时间的平均速度为
,
故后半时间比前半时间位移多:
,故D正确.
故选ACD.
点评:本题考查了匀变速直线运动推论公式的应用,对于这些推论公式既要会推导也要明确其适用条件并能灵活应用.
解答:解:在匀变速直线运动中
在匀变速运动中,时间中点的速度等于全过程中的平均速度,所以前半时间的平均速度为
故后半时间比前半时间位移多:
故选ACD.
点评:本题考查了匀变速直线运动推论公式的应用,对于这些推论公式既要会推导也要明确其适用条件并能灵活应用.
练习册系列答案
相关题目