题目内容
质量为m的物体放在水平地面上,物体上安着一根长为
、劲度系数为k的轻弹簧,现用手拉着弹簧的上端P缓慢上提(如图),直到物体离开地面一段距离,已知在这过程中,P点的位移是h,则物体重力势能的增加量是
[ ]
A.mgh
B.
D.
D.
答案:C
解析:
解析:
|
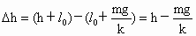
手提 P端缓慢上升,当物体离开地面时弹簧的弹力T=mg,弹簧的长度变为
物体上升的高度的
如图所示
所以物体的重力势能的增加量
求解此题注意缓慢上提的意义是不考虑动能,速度为零.其次注意区分弹簧上 P点上升的高度h、物体离开地面后弹簧的伸长量以及物体上升高度这三者之间的关系.还要明确手对弹簧的拉力的做功效果是同时增加了弹簧的弹性势能和物体的重力势能. |
练习册系列答案
相关题目