题目内容
地球赤道上有一物体随地球的自转而做圆周运动,所受的向心力为F1,向心加速度为a1,线速度为v1,角速度为ω1;绕地球表面附近做圆周运动的人造卫星受的向心力为F2,向心加速度为a2,线速度为v2,角速度为ω2;地球同步卫星所受的向心力为F3,向心加速度a3,线速度为v3,角度速度为ω3,地球表面重力加速度为g,第一宇宙速度为v,假设三者质量相等.则( )A.F1=F2>F3
B.a2=g>a3>a1
C.v2>v3>v1
D.ω1=ω3>ω2
【答案】分析:题中涉及三个物体:地球赤道上有一随地球的自转而做圆周运动物体1、绕地球表面附近做圆周运动的人造卫星2、地球同步卫星3;物体1与人造卫星2转动半径相同,物体1与同步卫星3转动周期相同,人造卫星2与同步卫星3同是卫星,都是万有引力提供向心力;分三种类型进行比较分析即可.
解答:解:A、根据题意三者质量相等,轨道半径r1=r2<r3
物体1与人造卫星2比较,由于赤道上物体受引力和支持力的合力提供向心力,而近地卫星只受万有引力,故F1<F2 ,故A错误;
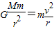
B、物体1和卫星3周期相等,则角速度相等,即ω1=ω3,而加速度a=rω2,则a3>a1,卫星2和卫星3都靠万有引力提供向心力,根据
=ma,
,a=
,知轨道半径越大,角速度越小,向心加速度越小,则a2>a3,ω2>ω3.对于近地卫星,有
,向心加速度等于表面的重力加速度.故B正确,D错误.
C、物体1和卫星3周期相等,则角速度相等,即ω1=ω3,根据v=rω,则v3>v1,卫星2和卫星3都靠万有引力提供向心力,根据
,解得v=
,知轨道半径越大,线速度越小,则v2>v3.故C正确.
故选BC.
点评:本题关键要将物体1、人造卫星2、同步卫星3分为三组进行分析比较,最后再综合;一定不能将三个物体当同一种模型分析,否则会使问题复杂化.
解答:解:A、根据题意三者质量相等,轨道半径r1=r2<r3
物体1与人造卫星2比较,由于赤道上物体受引力和支持力的合力提供向心力,而近地卫星只受万有引力,故F1<F2 ,故A错误;
B、物体1和卫星3周期相等,则角速度相等,即ω1=ω3,而加速度a=rω2,则a3>a1,卫星2和卫星3都靠万有引力提供向心力,根据
C、物体1和卫星3周期相等,则角速度相等,即ω1=ω3,根据v=rω,则v3>v1,卫星2和卫星3都靠万有引力提供向心力,根据
故选BC.
点评:本题关键要将物体1、人造卫星2、同步卫星3分为三组进行分析比较,最后再综合;一定不能将三个物体当同一种模型分析,否则会使问题复杂化.
练习册系列答案
相关题目