ÌâÄ¿ÄÚÈÝ

£¨10·Ö£©2011Äê7ÔÂ23ÈÕÍí£¬ð®ÎÂÏßÓÀ¼ÎÕ¾ÖÁÎÂÖÝÄÏÕ¾¼ä£¬±±¾©ÄÏÖÁ¸£ÖÝD301´ÎÁгµÓ뺼ÖÝÖÁ¸£ÖÝÄÏD3115´ÎÁгµ·¢Éú׷βʹʣ¬Ôì³É¶¯³µ×éÔËÐÐÒÔÀ´µÄÌØÖØ´óÌú·½»Í¨Ê¹ʡ£Ê¹ʷ¢ÉúǰD3115´Î¶¯³µ×éÕýÒÔ20km£¯hµÄÄ¿ÊÓÐгµËÙ¶ÈÔÚ·¢ÉúʹʵÄÌú·ÉÏÔÈËÙÐÐÊ»£¬¶øD301´Î¶¯³µ×éÊ»ÀëÓÀ¼ÎÕ¾ºó£¬2·ÖÖÓ³µËÙ´ïµ½216km£¯h£¬±ã¿ªÊ¼ÔÈËÙÐÐÊ»¡£²»ÐÒµÄÊǼ¸·ÖÖÓºó¾Í·¢ÉúÁË׷βʹʡ£

£¨1£©Èç¹ûÈÏΪD301´Î¶¯³µ×éÒԺ㶨¼ÓËÙ¶È´Ó¾²Ö¹Ê»ÀëÓÀ¼Î³µÕ¾£¬ÇóD301µÄÆô¶¯¼ÓËٶȺͼÓËÙ¾àÀë·Ö±ðÊǶàÉÙ?

£¨2£©ÒÑÖª¶¯³µ×é½ô¼±Öƶ¯µÄ¼ÓËÙ¶ÈΪ3m£¯s2£¬D301Õý³£ÐÐÊ»ºó£¬ÎªÁ˱ÜÃâʹʷ¢Éú£¬Ó¦ÖÁÉÙ¾àÀëD3115¶àÔ¶¿ªÊ¼É²³µ²ÅÓпÉÄܱÜÃâʹʷ¢Éú?£¨20km/h¡Ö5£®6m£¯s£©

 

¡¾´ð°¸¡¿

£¨1£©0.5m/s2 £¬3600m£»£¨2£©492.3 m

¡¾½âÎö¡¿

ÊÔÌâ·ÖÎö£º½â£º £¨1£©ÓÉÓÚD301´Î¶¯³µ×é2·ÖÖÓ³µËÙ´ïµ½216km/h=60m/s

ËùÒÔµÃÆô¶¯¼ÓËÙ¶È£ºa= =0.5m/s2     2·Ö

¼ÓËÙ¾àÀ룺s=at2=3600m     2·Ö

£¨2£©ÒªÏëÂú×ã¶þ³µÇ¡ºÃ²»×²£¬Ôò±ØÐëÖÁÉÙÂú×㣬D301×·ÉÏD3115ʱ¶þ³µËÙ¶ÈÏàͬ£¬

ËùÒԵãºv=v0-at£¬

½âµÃt=18.1s£¬     2·Ö

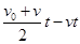
¶þ³µÖ®¼äµÄÎ»ÒÆ¹ØÏµÎª£º¡÷s=       2·Ö

´úÈëÊý¾ÝµÃ ¡÷s=492.3m      2·Ö

¿¼µã£ºÔȱäËÙÖ±ÏßÔ˶¯£¬×·¼°ÎÊÌâ

 

Á·Ï°²áϵÁдð°¸
Ïà¹ØÌâÄ¿
2011Äê7ÔÂ23ÈÕÍí£¬±±¾©ÖÁ¸£ÖݵÄD301´Î¶¯³µÐÐÊ»ÖÁÎÂÖÝÊÐË«Óì·¶Îʱ£¬Ó뺼ÖÝ¿ªÍù¸£ÖݵÄD3115´Î¶¯³µ×·Î²£¬Ê¹ÊÔì³É40ÈËËÀÍö£¬Ô¼200ÈËÊÜÉË£®Ê¹ÊÔ­Òò³õ²½²éÃ÷ÊÇD3115´Î¶¯³µÔâµ½À×»÷ºóʧȥ¶¯Á¦¶øÍ£³µ£¬¶øÎÂÖÝÄϵÄÐźÅϵͳ·¢Éú¹ÊÕÏδ¼ì²âµ½ÓгµÍ£ÔÚ·¹ìµ¼ÖÂָʾµÆ´íÎóÏÔʾÂÌÉ«£¬Ôì³ÉD301¶¯³µ×·Î²£®Ä¿Ç°ÎÒ¹ú¶¯³µ×éÁгµ³£Ê¹ÓÃ×Ô¶¯±ÕÈû·¨Ðгµ£®×Ô¶¯±ÕÈûÊÇͨ¹ýÐźŻú½«ÐгµÇø¼ä»®·ÖΪÈô¸É¸ö±ÕÈû·ÖÇø£¬Ã¿¸ö±ÕÈû·ÖÇøµÄÊ×¶ËÉèÓÐÐźŵƣ¬µ±±ÕÈû·ÖÇøÓгµÁ¾Õ¼Óûò¸Ö¹ìÕÛ¶ÏʱÐźŵÆÏÔʾºìÉ«£¨Í£³µ£©£¬ºóÒ»¸ö±ÕÈû·ÖÇøÏÔʾ»ÆÉ«£¨Öƶ¯¼õËÙ£©£¬ÆäËü±ÕÈû·ÖÇøÏÔʾÂÌÉ«£¨Õý³£ÔËÐУ©£®¼ÙÉ趯³µÖƶ¯Ê±ËùÊÜ×èÁ¦ÎªÖØÁ¦µÄ0.1±¶£¬¶¯³µË¾»ú¿ÉÊÓ¾àÀëΪ450m£¬²»¿¼ÂÇ·´Ó¦Ê±¼ä£®£¨g=10m/s2£©
£¨1£©Èç¹ûÓгµÍ£ÔÚ·¹ì¶øÐźÅϵͳ·¢Éú¹ÊÕÏ£¬Ë¾»ú¿´µ½Í£ÔÚ·¹ìÉϵijµ²Åɲ³µ£¬ÒªÊ¹¶¯³µ²»·¢Éú׷⣬Ôò¶¯³µÔËÐÐËٶȲ»µÃ³¬¹ý¶àÉÙ£¿
£¨2£©Èç¹û¶¯³µÉè¼ÆÔËÐÐËÙ¶ÈΪ252km/h£¬Çó£º
¢Ù¶¯³µµÄÖÆ¶¯¾àÀ룻
¢ÚÕý³£Çé¿öÏ£¬ÒªÊ¹¶¯³µ²»·¢Éú׷β£¬Ã¿¸ö±ÕÈû·ÖÇøÖÁÉٶ೤£®

Î¥·¨ºÍ²»Á¼ÐÅÏ¢¾Ù±¨µç»°£º027-86699610 ¾Ù±¨ÓÊÏ䣺58377363@163.com

¾«Ó¢¼Ò½ÌÍø