题目内容

一半径为R的1/4球体放置在水平面上,球体由折射率为的透明材料制成。现有一束位于过球心O的竖直平面内的光线,平行于桌面射到球体表面上,折射入球体后再从竖直表面射出,如图所示。已知入射光线与桌面的距离为。求出射角。

 

 

 

【答案】

θ=60°

【解析】

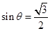
试题分析:设入射光线与1/4球体的交点为C,连接OC,OC即为入射点的法线。因此,图中的角α为入射角。过C点作球体水平表面的垂线,垂足为B。依题意,,又由  ①

设光线在C点的折射角为β,由折射定律得     ②

由①②式得   ③

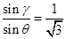
由几何关系知,光线在球体的竖直表面上的入射角γ(见图)为30°

由折射定律得:

因此,解得θ=60°

考点:光的折射定律.

 

练习册系列答案
相关题目

违法和不良信息举报电话:027-86699610 举报邮箱:58377363@163.com

精英家教网