题目内容
如图所示,竖直的xOy平面内,在x≤0、y≥0的区域内有电场强度E1=5×102N/C、方向竖直向下的匀强电场,x>0、y<0的区域内有电场强度为E2、方向竖直向上的匀强电场,E2=5El。不带电的小球B在xOy面内绕x轴上的O1点沿顺时针做圆周运动,运动到O点时速度大小vo=20m/s,带正电的小球A在y轴上纵坐标y1=0.4m的P点静止释放,恰好和B在O点发生正碰,并瞬间合成一个整体C,C能够经过最高点02和最低点03做圆周运动。A,B的质量都是m=0.1kg,拴小球B的轻质绝缘细绳长L=0.8m,A的电荷量q=2×10-3C,A、B、C都可以看作质点,g取10m/s2。求:
(1)小球A下落到O点的速度v1是多大?
(2)C运动到03时,绳对C的拉力T是多大?
(3)小球A从y轴上y>0的某些位置开始下落,恰好在O点与B合成为C后,不能够做经过02和03的圆周运动。求这些位置的范围?
(1)小球A下落到O点的速度v1是多大?
(2)C运动到03时,绳对C的拉力T是多大?
(3)小球A从y轴上y>0的某些位置开始下落,恰好在O点与B合成为C后,不能够做经过02和03的圆周运动。求这些位置的范围?
解:(1)由动能定理有(qE1+mg)y1=
解得v1=4m/s
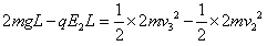
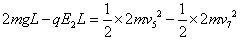
(2)设A与B碰后共同速度为v2,以竖直向上为正方向
由动量守恒得mv0-mv1=2mv2
解得v2=8m/s
设C运动到O3时速度v3,则


解得T=7N
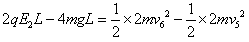
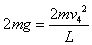
(3)C不能做能够经过O2和O3的圆周运动,即C不能达到能够经过O2和O3所需的最小速度。设C能够做经过O2的圆周运动,在O2所需的最小速度为v4,设C能够做经过O3的圆周运动,在O3所需的最小速度为v5,则

v4=
m/s,v5=
m/s
C经过O3时速度为v5=
m/s,设经过O2时速度为v6,则

由于
>0
所以v6>v5=
m/s>v4=
m/s
即C能够做经过O3就一定能够做经过O2
当C能够做经过O3的速度小于v5=
m/s时,不能做能够经过O2和O3的圆周运动
设C经过O3的速度为v5时,A与B碰后在O点的共同速度为v7,则

v7=6m/s
C在O点的速度只要大小为v7,不管是向上还是向下,C都能够经过O3
设C的速度向上时,碰前A的速度为v8,在y轴上开始位置的坐标为y2,则
mv0-mv8=2mv7
(qE1+mg)y2=
解得v8=8m/s,y2=1.6m
设C的速度向下时,碰前A的速度为v9,在y轴上开始位置的坐标为y3,则
mv0-mv9=-2mv7
(qE1+mg)y3=
解得v9=32m/s,y3=25.6m
即1.6m<y<25.6m时,C不能做能够经过O2和O3的圆周运动
解得v1=4m/s
(2)设A与B碰后共同速度为v2,以竖直向上为正方向
由动量守恒得mv0-mv1=2mv2
解得v2=8m/s
设C运动到O3时速度v3,则
解得T=7N
(3)C不能做能够经过O2和O3的圆周运动,即C不能达到能够经过O2和O3所需的最小速度。设C能够做经过O2的圆周运动,在O2所需的最小速度为v4,设C能够做经过O3的圆周运动,在O3所需的最小速度为v5,则
v4=
C经过O3时速度为v5=
由于
所以v6>v5=
即C能够做经过O3就一定能够做经过O2
当C能够做经过O3的速度小于v5=
设C经过O3的速度为v5时,A与B碰后在O点的共同速度为v7,则
v7=6m/s
C在O点的速度只要大小为v7,不管是向上还是向下,C都能够经过O3
设C的速度向上时,碰前A的速度为v8,在y轴上开始位置的坐标为y2,则
mv0-mv8=2mv7
(qE1+mg)y2=
解得v8=8m/s,y2=1.6m
设C的速度向下时,碰前A的速度为v9,在y轴上开始位置的坐标为y3,则
mv0-mv9=-2mv7
(qE1+mg)y3=
解得v9=32m/s,y3=25.6m
即1.6m<y<25.6m时,C不能做能够经过O2和O3的圆周运动
练习册系列答案
相关题目