题目内容

如图所示,电解槽A和电炉并联后接到电源上,电源内阻γ=1 Ω,电炉电阻

R19 Ω,电解槽电阻0.5 Ω.当S1闭合、S2断开时,电炉消耗功率684 WS1S2都闭合时电炉消耗功率475 W(电炉电阻可看作不变).试求:

(1)电源的电动势;

(2)S1S2都闭合时,流过电解槽的电流大小;

(3)S1S2都闭合时,电解槽中电能转化成化学能的功率.

答案:
解析:

  (1)S1闭合S2断开时电炉功率为

  电炉中电流(2)

  电源电动势(2)

  (2)S1S2都闭合时电炉功率为

  电炉中电流(1)

  电源路端电压为(1)

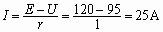
  通过电源的电流为(2)

  通过电解槽的电流为(1)

  (3)电解槽消耗的电功率(2)

  电解槽内热损耗功率(2)

  电解槽转化成化学能的功率(2)


练习册系列答案
相关题目

违法和不良信息举报电话:027-86699610 举报邮箱:58377363@163.com

精英家教网