题目内容

(9分)如图所示,一质量为M的平板车B放在光滑水平面上,在其右端放一质量为m的小木块A,m<M,A、B间动摩擦因数为μ,现给A和B以大小相等、方向相反的初速度v0,使A开始向左运动,B开始向右运动,最后A不会滑离B,求:

(1)A、B最后的速度大小和方向.

(2)从地面上看,小木块向左运动到离出发点最远处时,平板车向右运动的位移大小.

 

【答案】

(1)v= v0,方向向右    (2)s=

【解析】

试题分析:(1)A刚好没有滑离B板,表示当A滑到B板的最左端时,A、B具有相同的速度,设此速度为v,A和B的初速度的大小为v0,则据动量守恒定律可得:Mv0-mv0=(M+m)v   2分

解得:v= v0,方向向右         1分

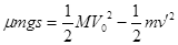
(2)从地面上看,小木块向左运动到离出发点最远处时,木块速度为零,平板车速度为,由动量守恒定律得                 2分

这一过程平板向右运动S,      2分

解得s=       2分

考点:本题考查动量守恒和能量守恒定律的应用。

 

练习册系列答案
相关题目

违法和不良信息举报电话:027-86699610 举报邮箱:58377363@163.com

精英家教网