ÌâÄ¿ÄÚÈÝ
¹â»¬Ë®Æ½ÃæÉϾ²ÖÃÒ»ÖÊÁ¿ÎªMµÄľ¿é£¬Ò»¿ÅÖÊÁ¿ÎªmµÄ×Óµ¯ÒÔˮƽËÙ¶Èv1ÉäÈëľ¿é£¬ÒÔv2ËÙ¶È´©³ö£¬¶ÔÕâ¸ö¹ý³Ì£¬ÏÂÁÐ˵·¨ÕýÈ·µÄÊÇ£¨ £©A£®×Óµ¯¶Ôľ¿é×öµÄ¹¦µÈÓÚ
B£®×Óµ¯¶Ôľ¿é×öµÄ¹¦µÈÓÚ×Óµ¯¿Ë·þ×èÁ¦×öµÄ¹¦
C£®×Óµ¯¶Ôľ¿é×öµÄ¹¦µÈÓÚľ¿é»ñµÃµÄ¶¯ÄÜÓë×Óµ¯¸úľ¿éĦ²ÁÉúÈȵÄÄÚÄÜÖ®ºÍ
D£®×Óµ¯ËðʧµÄ¶¯ÄܵÈÓÚľ¿é»ñµÃµÄ¶¯Äܸú×Óµ¯Óëľ¿éĦ²Áת»¯µÄÄÚÄܺÍ
¡¾´ð°¸¡¿·ÖÎö£ºÓɶ¯Äܶ¨ÀíÇó³ö×Óµ¯¶Ôľ¿é×öµÄ¹¦£®×Óµ¯¶Ôľ¿éµÄÁ¦Óëľ¿é¶Ô×Óµ¯µÄÁ¦´óСÏàµÈ£¬ÓÉÓÚ×Óµ¯µÄÎ»ÒÆ´óÓÚľ¿éµÄÎ»ÒÆ£¬×Óµ¯¶Ôľ¿é×öµÄ¹¦²»µÈÓÚ×Óµ¯¿Ë·þ×èÁ¦×öµÄ¹¦£®×Óµ¯É䴩ľ¿éµÄ¹ý³ÌÖУ¬×Óµ¯ËðʧµÄ¶¯ÄÜת»¯ÎªÄ¾¿éµÄ¶¯ÄܺÍϵͳµÄÄÚÄÜ£®
½â´ð£º½â£ºA¡¢BÓɶ¯Äܶ¨Àí£¬
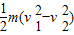
¶Ô×Óµ¯£ºÄ¾¿é¶Ô×Óµ¯×ö¹¦ÎªW=
£¬Ôò×Óµ¯¿Ë·þ×èÁ¦×ö¹¦Îª|W|=
£®×Óµ¯¶Ôľ¿éµÄÁ¦Óëľ¿é¶Ô×Óµ¯µÄÁ¦´óСÏàµÈ£¬µ«ÓÉÓÚ×Óµ¯µÄÎ»ÒÆ´óÓÚľ¿éµÄÎ»ÒÆ£¬Ôò×Óµ¯¶Ôľ¿é×öµÄ¹¦Ð¡ÓÚ×Óµ¯¿Ë·þ×èÁ¦×öµÄ¹¦£¬ÔòÓÐ×Óµ¯¶Ôľ¿é×öµÄ¹¦Ð¡ÓÚ
£®¹ÊAB¾ù´íÎó£®
C¡¢D×Óµ¯É䴩ľ¿éµÄ¹ý³ÌÖУ¬×Óµ¯ËðʧµÄ¶¯ÄÜת»¯ÎªÄ¾¿éµÄ¶¯ÄܺÍ×Óµ¯ºÍľ¿é×é³ÉµÄϵͳµÄÄÚÄÜ£¬ÓÉÄÜÁ¿Êغ㶨ÂɵÃÖª£¬×Óµ¯ËðʧµÄ¶¯ÄܵÈÓÚľ¿é»ñµÃµÄ¶¯Äܸú×Óµ¯Óëľ¿éĦ²Áת»¯µÄÄÚÄܺͣ®¹ÊC´íÎó£¬DÕýÈ·£®
¹ÊÑ¡D
µãÆÀ£º×Óµ¯Éä»÷ľ¿é£¬¸ù¾Ý¶¯Á¿ÊغãºÍÄÜÁ¿ÊغãÑо¿£¬¹Ø¼üÒª·ÖÎöÄÜÁ¿Óм¸ÖÖÐÎʽ£¬ÄÜÁ¿ÊÇÈçºÎת»¯µÄ£®
½â´ð£º½â£ºA¡¢BÓɶ¯Äܶ¨Àí£¬
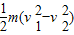
¶Ô×Óµ¯£ºÄ¾¿é¶Ô×Óµ¯×ö¹¦ÎªW=
C¡¢D×Óµ¯É䴩ľ¿éµÄ¹ý³ÌÖУ¬×Óµ¯ËðʧµÄ¶¯ÄÜת»¯ÎªÄ¾¿éµÄ¶¯ÄܺÍ×Óµ¯ºÍľ¿é×é³ÉµÄϵͳµÄÄÚÄÜ£¬ÓÉÄÜÁ¿Êغ㶨ÂɵÃÖª£¬×Óµ¯ËðʧµÄ¶¯ÄܵÈÓÚľ¿é»ñµÃµÄ¶¯Äܸú×Óµ¯Óëľ¿éĦ²Áת»¯µÄÄÚÄܺͣ®¹ÊC´íÎó£¬DÕýÈ·£®
¹ÊÑ¡D
µãÆÀ£º×Óµ¯Éä»÷ľ¿é£¬¸ù¾Ý¶¯Á¿ÊغãºÍÄÜÁ¿ÊغãÑо¿£¬¹Ø¼üÒª·ÖÎöÄÜÁ¿Óм¸ÖÖÐÎʽ£¬ÄÜÁ¿ÊÇÈçºÎת»¯µÄ£®
Á·Ï°²áϵÁдð°¸
Ïà¹ØÌâÄ¿