ÌâÄ¿ÄÚÈÝ

ÈçͼËùʾ£¬Ò»¸öÖÊÁ¿Îªm¡¢´øµçÁ¿Îª+qµÄÔ²»·£¬¿ÉÔÚˮƽ·ÅÖõÄ×ã¹»³¤µÄ´Ö²Úϸ¸ËÉÏ»¬¶¯£¬Ï¸¸Ë´¦ÓڴŸÐӦǿ¶ÈΪBµÄÔÈÇ¿´Å³¡ÖС£ÏÖ¸øÔ²»·Ò»¸öˮƽÏòÓҵijõËÙ¶Èv0£¬ÔÚÒÔºóµÄÔ˶¯ÖÐÏÂÁÐ˵·¨ÕýÈ·µÄÊÇ£¨      £©

A£®Ô²»·¿ÉÄÜ×öÔȼõËÙÔ˶¯

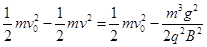
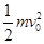
B£®Ô²»·¿Ë·þĦ²ÁÁ¦Ëù×öµÄ¹¦Ò»¶¨Îª

C£®Ô²»·²»¿ÉÄÜ×öÔÈËÙÖ±ÏßÔ˶¯

D£®Ô²»·¿Ë·þĦ²ÁÁ¦Ëù×öµÄ¹¦¿ÉÄÜΪ

 

¡¾´ð°¸¡¿

D

¡¾½âÎö¡¿

ÊÔÌâ·ÖÎö£ºÔ²»·´øÕýµç£¬´Å³¡·½Ïò´¹Ö±Ö½ÃæÏòÀÓÉ×óÊÖ¶¨Ôò¿ÉÅж¨µ±Ð¡ÇòˮƽÏòÓÒÔ˶¯Ê±ÂåÂ××ÈÁ¦·½ÏòÊúÖ±ÏòÉÏ£¬µ±£¬¼´Ê±£¬Ð¡Çò²»ÊÜˮƽ¸ËµÄµ¯Á¦×÷Óã¬Ä¦²ÁÁ¦£¬Ð¡Çò½«×öÔÈËÙÖ±ÏßÔ˶¯£»µ±£¬¼´Ê±£¬Ð¡Çò¼õËÙ£¬ÂåÂ××ÈÁ¦¼õС£¬ÇòÓë¸Ë¼äµÄÕýѹÁ¦Ôö´ó£¬Ä¦²ÁÁ¦Ôö´ó£¬¼ÓËÙ¶ÈÔö´ó£¬×îÖÕСÇòÍ£ÏÂÀ´£¬¿Ë·þĦ²ÁÁ¦Ëù×ö¹¦£»µ±£¬¼´Ê±£¬Ð¡ÇòÏȼõËÙ£¬ÂåÂ××ÈÁ¦¼õС£¬ÇòÓë¸Ë¼äµÄÕýѹÁ¦¼õС£¬Ä¦²ÁÁ¦¼õС£¬¼ÓËٶȼõС£¬µ±ÂåÂ××ÈÁ¦¼õСµ½ÖØÁ¦´óСʱ£¬¿ªÊ¼ÒÔµÄËÙ¶È×öÔÈËÙÖ±ÏßÔ˶¯£¬È«¹ý³Ì¿Í·þĦ²ÁÁ¦×ö¹¦¡£

×ÛÉÏ¿ÉÖª£¬ÕýÈ·´ð°¸ÎªD¡£

¿¼µã£ºÅ£¶Ù¶¨ÂɵÄÓ¦Óá¢ÂåÂ××ÈÁ¦

 

Á·Ï°²áϵÁдð°¸
Ïà¹ØÌâÄ¿

Î¥·¨ºÍ²»Á¼ÐÅÏ¢¾Ù±¨µç»°£º027-86699610 ¾Ù±¨ÓÊÏ䣺58377363@163.com

¾«Ó¢¼Ò½ÌÍø