题目内容
跳伞运动员做低空跳伞表演,他离开飞机后先做自由落体运动,当距离地面125m 时打开降落伞,伞张开后运动员就以14.3m/s2的加速度做匀减速直线运动,到达地面时速度为5m/s.求:(1)运动员离开飞机时距地面的高度为多少?
(2)离开飞机后经多少时间才能到达地面?(g=10m/s2)
【答案】分析:(1)由运动数据求得打开伞时的速度,此前运动员做自由落体运动,求得下降高度,进而求得总高度
(2)运动的总时间为两次运动时间之和
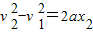
解答:解:(1)运动员打开伞后做匀减速运动,有:

可求得运动员打开伞时的速度为:v1=60m/s,
运动员自由下落的距离为:
运动员离开飞机时距地面的高度为:x=x1+x2=305m
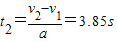
(2)自由落体的时间为:
,
打开伞后运动的时间:
离开飞机后运动的时间t=t1+t2=9.85s
答(1)运动员离开飞机时距地面的高度为305m
(2)离开飞机后运动的时间维9.85s
点评:建立运动情景,先自由落体,后匀减速运动,分别应用匀变速运动规律求解即可,属于常规题目
(2)运动的总时间为两次运动时间之和
解答:解:(1)运动员打开伞后做匀减速运动,有:
可求得运动员打开伞时的速度为:v1=60m/s,
运动员自由下落的距离为:
运动员离开飞机时距地面的高度为:x=x1+x2=305m
(2)自由落体的时间为:
打开伞后运动的时间:
离开飞机后运动的时间t=t1+t2=9.85s
答(1)运动员离开飞机时距地面的高度为305m
(2)离开飞机后运动的时间维9.85s
点评:建立运动情景,先自由落体,后匀减速运动,分别应用匀变速运动规律求解即可,属于常规题目
练习册系列答案
相关题目