题目内容
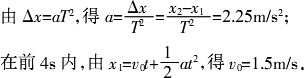
一个做匀加速直线运动的物体,前
4 s内经过的位移是24 m,在紧接着的4 s内经过的位移是60 m,则这个物体的加速度a=________,初始速度v0=________.
答案:
解析:
解析:
|
答案: 2.25 m/s2 1.5 m/s提示: |
练习册系列答案
相关题目
题目内容
一个做匀加速直线运动的物体,前
4 s内经过的位移是24 m,在紧接着的4 s内经过的位移是60 m,则这个物体的加速度a=________,初始速度v0=________.|
答案: 2.25 m/s2 1.5 m/s提示: |