题目内容
如图所示,在直角坐标系的第I象限分布着场强E=5×103V/mN方向水平向左的匀强电场,其余三象限分布着垂直纸面向里的匀强磁场.现从电场中M (0.5,0.5)点由静止释放一比荷为(1)求匀强磁场的磁感应强度和带电微粒第二次进入磁场时的位置坐标;
(2)为了使微粒还能回到释放点M,在微粒第二次进入磁场后撤掉第I象限的电场,求此情况下微粒从释放到回到M点所用时间.
【答案】分析:带电粒子在匀强电场中做的是类平抛运动,利用平抛运动规律,结合电场强度、电荷的荷质比,求出粒子的进入磁场的速度大小与方向以及位置.当带电粒子进入磁场后,仅受洛伦兹力作用,做匀速圆周运动.由微粒第一次进入磁场后将垂直通过x轴,可寻找到已知长度与圆弧半径的关系,从而求出磁感应强度,当粒子再次进入电场时,仍是类平抛运动.利用相同方法求出离开电场的位置.
要求微粒从释放到回到M点所用时间,画出带电粒子的运动轨迹,当粒子做类平抛运动,运用平抛运动规律求出时间,当粒子做匀速圆周运动时,由周期公式求出运动时间.
解答:解:(1)设微粒质量为m,带电量为q,第一次进入磁场时速度为v,磁感应强度为B,在磁场中运动轨道半径为R,带电粒子在磁场中做匀速圆周运动,有几何关系
可得:R=0.5m
由动能定理可得
由圆周运动规律可得
解得:B=1.0T
微粒在磁场中刚好运动3/4圆周后,从点(0.5,0)处垂直电场方向进入电场做类平抛运动.设微粒第二次进入磁场的位置坐标为(0,y),则:
y=vt
代入数值解得:
y=1.0m
微粒第二次进入磁场的位置坐标为(0,1.0).
(2)微粒第二次进入磁场时,速度为v1,轨道半径为R1


运动
圆周后刚好从坐标原点射出磁场,其轨迹如图所示. 用T表示微粒在磁场中运动周期,则

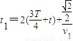
若在微粒第二次进入磁场后撤掉电场,则:

计算后得:
t1=(2.5+1.50π)×10-4s(或7.21×10-4s)
点评:本题重点是画出带电粒子的运动轨迹,当是平抛运动时,则可分解成沿电场强度方向是匀加速,垂直电场强度方向是匀速.当是圆周运动时,可由几何关系去找到已知长度与半径的关系,最终能求出结果.
要求微粒从释放到回到M点所用时间,画出带电粒子的运动轨迹,当粒子做类平抛运动,运用平抛运动规律求出时间,当粒子做匀速圆周运动时,由周期公式求出运动时间.
解答:解:(1)设微粒质量为m,带电量为q,第一次进入磁场时速度为v,磁感应强度为B,在磁场中运动轨道半径为R,带电粒子在磁场中做匀速圆周运动,有几何关系
由动能定理可得
由圆周运动规律可得
解得:B=1.0T
微粒在磁场中刚好运动3/4圆周后,从点(0.5,0)处垂直电场方向进入电场做类平抛运动.设微粒第二次进入磁场的位置坐标为(0,y),则:
y=vt
代入数值解得:
y=1.0m
微粒第二次进入磁场的位置坐标为(0,1.0).
(2)微粒第二次进入磁场时,速度为v1,轨道半径为R1
运动
若在微粒第二次进入磁场后撤掉电场,则:
计算后得:
t1=(2.5+1.50π)×10-4s(或7.21×10-4s)
点评:本题重点是画出带电粒子的运动轨迹,当是平抛运动时,则可分解成沿电场强度方向是匀加速,垂直电场强度方向是匀速.当是圆周运动时,可由几何关系去找到已知长度与半径的关系,最终能求出结果.
练习册系列答案
相关题目