题目内容
A.卫星在停泊轨道和工作轨道运行的速度之比为
B.卫星在停泊轨道和工作轨道运行的周期之比为
C.卫星在停泊轨道运行的速度大于地球的第一宇宙速度
D.卫星在停泊轨道转移到地月转移轨道,卫星必须加速
【答案】分析:根据万有引力提供向心力:
,求出线速度和周期,看与什么因素有关,然后求出线速度之比和周期之比.第一宇宙速度的轨道半径时地球的半径,轨道半径越大,线速度越小,第一宇宙速度是绕地球做圆周运动的最大环绕速度.
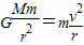
解答:解:A、根据万有引力提供向心力有:
解得
,
所以卫星在停泊轨道和工作轨道运行的速度之比为:
.故A正确.
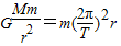
B、根据万有引力提供向心力有:
,解得:
,
所以卫星在停泊轨道和工作轨道运行的周期之比为:
=
.故B错误.
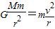
C、根据万有引力提供向心力有:
解得:
,
知轨道半径越小,线速度越大,第一宇宙速度的轨道半径为地球的半径,小于停泊轨道的半径,所以卫星在停泊轨道上运行的速度小于地球的第一宇宙速度.故C错误.
D、从停泊轨道进入到地月转移轨道,卫星必须加速,使万有引力不够提供向心力,而做离心运动.故D正确.
故选AD.
点评:解决本题的关键掌握万有引力提供向心力:
,以及理解第一宇宙速度.
解答:解:A、根据万有引力提供向心力有:
所以卫星在停泊轨道和工作轨道运行的速度之比为:
B、根据万有引力提供向心力有:
所以卫星在停泊轨道和工作轨道运行的周期之比为:
C、根据万有引力提供向心力有:
知轨道半径越小,线速度越大,第一宇宙速度的轨道半径为地球的半径,小于停泊轨道的半径,所以卫星在停泊轨道上运行的速度小于地球的第一宇宙速度.故C错误.
D、从停泊轨道进入到地月转移轨道,卫星必须加速,使万有引力不够提供向心力,而做离心运动.故D正确.
故选AD.
点评:解决本题的关键掌握万有引力提供向心力:
练习册系列答案
相关题目