题目内容
已知地球半径R=6.4×106m,地面附近重力加速度g=9.8m/s2,一颗卫星在离地面高为h=3.4×106m的圆形轨道上做匀速圆周运动.求:(1)卫星运动的线速度.
(2)卫星的周期.
【答案】分析:(1)在地球表面,重力提供向心力,在任意轨道,万有引力提供向心力,联立方程即可求解;
(2)根据向心力周期公式即可求解.
解答:解:(1)在地面附近有:
①
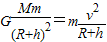
在离地面h高处轨道上有:
②
由 ①②联立得v=
=6.4×103m/s
(2)由
得:
T=
带入数据得:T=9.62×103s
答:(1)卫星运动的线速度为6.4×103m/s;
(2)卫星的周期为9.62×103s.
点评:该题考查了万有引力公式及向心力基本公式的直接应用,难度不大,属于基础题.
(2)根据向心力周期公式即可求解.
解答:解:(1)在地面附近有:
在离地面h高处轨道上有:
由 ①②联立得v=
(2)由
T=
带入数据得:T=9.62×103s
答:(1)卫星运动的线速度为6.4×103m/s;
(2)卫星的周期为9.62×103s.
点评:该题考查了万有引力公式及向心力基本公式的直接应用,难度不大,属于基础题.
练习册系列答案
相关题目