题目内容

在本实验中,不直接测量加速度的数值,能不能探究出加速度与力、质量的关系?你怎样设计完成本实验?

答案:
解析:

能完成本实验,设计如下:

如果物体做初速度为零的匀加速直线运动,那么,测量物体加速度最直接的办法就是用刻度尺测量位移并用秒表测量时间,然后由算出.也可以在运动物体上安装一条打点计时器的纸带,根据纸带上打出的点来测量加速度.

其实,在这个实验中也可以不测加速度的具体数值,这是因为我们探究的是加速度与其他量之间的比例关系.因此,测量不同情况下(即不同受力时、不同质量时)物体加速度的比值,就可以了.

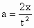
由于,如果测出两个初速度为零的匀加速运动在相同时间内发生的位移,位移之比就是加速度之比,即

(1)探究保持物体的质量不变时,加速度与力的关系.

实验步骤:

①将小车放在光滑水平板上,前端各系一条细绳,绳的另一端跨过定滑轮与一个小盘相连,盘中可放砝码如图所示.在小车的后面连接打点计时器的纸带.

②放开小车,在小盘和砝码的牵引下,使小车做匀加速运动.小车所受的合力与小盘和砝码的重力相等.

③增减小盘中的砝码,改变小车受到的合力.

④记下小车受到的合力的不同数值及测出小车相应的位移的数值,位移之比就等于它们的加速度之比.

⑤再重复上述实验两次.

⑥将得到的数据处理到图象上.

⑦结论:保持物体的质量不变时,加速度与合力成正比.

(2)探究保持物体所受的力不变时,加速度与质量的关系.

实验步骤:

①将两个相同的小车放在光滑水平板上,前端各系一条细绳,绳的另一端跨过定滑轮与一个小盘相连、盘中可放砝码再将两小车后端各系一条细绳,一起被一个夹子夹着使小车静止,如图所示.

②打开夹子,让两小车同时开始运动,关上夹子,两小车同时停下来,用刻度尺测出两小车通过的位移,位移之比就等于它们的加速度之比.

③在小车中增减砝码,改变小车的质量.

④记下小车每次增减砝码数值以及在不同质量下测出小车相应位移的数值,即相应的加速度的数值.

⑤再重复上述实验两次.

⑥将得到的数据处理到图象上.

⑦根据图象得出结论:保持物体的合力不变时,加速度与质量成反比.

一个结论可以有不同的实验方法.细心思考,大胆设想,你还会想出其他的办法.


练习册系列答案
相关题目

违法和不良信息举报电话:027-86699610 举报邮箱:58377363@163.com

精英家教网