题目内容
已知地球半径R=6.4×106m,地面附近重力加速度g=9.8m/s2,一颗卫星在离地面高为h的圆形轨道上做匀速圆周运动,卫星运行的线速度v=5.6×103 m/s.求:(1)卫星离地面的高度h.
(2)卫星的周期.(结果保留2位有效数字)
【答案】分析:根据万有引力给卫星提供向心力
的表达式结合黄金代换可解得卫星离地的高度;根据圆周运动的基本关系式可以解得卫星运动的周期.
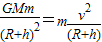
解答:解:(1)根据万有引力给卫星提供向心力,
对卫星:
①
在地面处的物体所受的万有引力等于重力
得:
②
由①②联立并代入数据解得:h=6.4×106m
(2)因为卫星的周期:
解得:T=1.4×104m/s.
答::(1)卫星离地面的高度为6.4×106m;
(2)卫星的周期为1.4×104m/s.
点评:本题关键抓住万有引力提供向心力,列式求解出线速度、角速度、周期和向心力的表达式,再进行讨论.
解答:解:(1)根据万有引力给卫星提供向心力,
对卫星:
在地面处的物体所受的万有引力等于重力
得:
由①②联立并代入数据解得:h=6.4×106m
(2)因为卫星的周期:
解得:T=1.4×104m/s.
答::(1)卫星离地面的高度为6.4×106m;
(2)卫星的周期为1.4×104m/s.
点评:本题关键抓住万有引力提供向心力,列式求解出线速度、角速度、周期和向心力的表达式,再进行讨论.
练习册系列答案
相关题目