题目内容
物体从静止开始做匀加速直线运动,第3s内通过的位移是3m,则( )A.第3 s内的平均速度是3 m/s
B.物体的加速度是1.2 m/s2
C.前3 s内的位移是6 m
D.3 s末的速度是3.6 m/s
【答案】分析:由公式
求解第3s内的平均速度.第3s内位移等于前3s内与前2s内位移之差,根据位移公式列式,求出加速度.再由运动学求出前3s内的位移和平均速度,及3s末的速度.
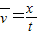
解答:解:A、第3s内的平均速度为:
m/s=3m/s.故A正确.
B、设加速度大小为a,则有:x=
-
,得:a=1.2m/s2.故B正确.
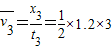
C、前3s内位移为:x3=
,前3s内平均速度为
m/s=1.8m/s.故C错误.
D、3s末的速度是:v3=at3=3.6m/s.故D正确.
故选ABD
点评:本题运用匀变速直线运动的基本公式研究初速度为零的匀加速运动问题,也可以通过图象研究.
解答:解:A、第3s内的平均速度为:
B、设加速度大小为a,则有:x=
C、前3s内位移为:x3=
D、3s末的速度是:v3=at3=3.6m/s.故D正确.
故选ABD
点评:本题运用匀变速直线运动的基本公式研究初速度为零的匀加速运动问题,也可以通过图象研究.
练习册系列答案
相关题目