题目内容

一个物体以恒定加速度做变速直线运动,某时刻速度的大小为4 m/s,1 s后的速度大小为10 m/s,则该物体的加速度可能等于多少?

答案:
解析:

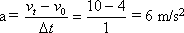
  解:当两速度方向相同时,设初速度方向为正,有vo=4 m/s,vt=10 m/s,则;当两速度方向相反时,设初速度方向为正,有vo=4 m/s,vt=-10 m/s,则

  思路解析:题中只给出加速度的大小,而没有指明方向,那么两速度的方向可能相同,也可能相反,所以本题应有两个解.


练习册系列答案
相关题目

违法和不良信息举报电话:027-86699610 举报邮箱:58377363@163.com

精英家教网