题目内容

探测器绕月球做匀速圆周运动,变轨后在周期较小的轨道上仍做匀速圆周运动,则变轨后与变轨前相比(  )

A.轨道半径变小    B. 心加速度变小

C.线速度变小       D.角速度变小

 

【答案】

A

【解析】

试题分析:由于,所以,T变小,r变小,A正确.

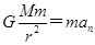
,解得; ,r变小,增大,B错误.

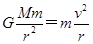
,解得r变小,v增大,C错误.

,解得r变小,ω增大,D错误

故选A.

考点:考查了万有引力定律的应用

点评:人造卫星的线速度、角速度、周期、向心加速度只与轨道半径有关,与卫星的质量无关!

 

练习册系列答案
相关题目

违法和不良信息举报电话:027-86699610 举报邮箱:58377363@163.com

精英家教网