题目内容
如图所示,由细管道组成的竖直轨道,其圆形部分半径分别是R和R/2,质量为m的小球通过这段轨道时,在A处刚好对管壁无压力,在B点处对内轨道的压力为mg/2.
求:(1)小球分别通过A、B点的速度
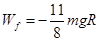
(2)由A运动到B的过程中摩擦力对小球做的功.![]()
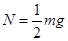
(1)
(2)![]()
解析
练习册系列答案
相关题目
题目内容
如图所示,由细管道组成的竖直轨道,其圆形部分半径分别是R和R/2,质量为m的小球通过这段轨道时,在A处刚好对管壁无压力,在B点处对内轨道的压力为mg/2.
求:(1)小球分别通过A、B点的速度
(2)由A运动到B的过程中摩擦力对小球做的功.![]()
(1)
(2)![]()
解析