题目内容

(10分)在香港海洋公园的游乐场中,有一台大型游戏机叫”跳楼机”.参加游戏的游客被安全带固定在座椅上,由电动机将座椅沿光滑的竖直轨道提升到离地面40 m高处,然后由静止释放,座椅做自由落体运动。座椅沿轨道自由下落一段时间后,开始受到压缩空气提供的恒定阻力而紧接着做匀减速运动,下落到离地面4.0 m高处速度刚好减小到零,这一下落全过程经历的时间是6s. 取g=10m/s2.求:

(1)座椅被释放后自由下落的高度有多高?

(2)在匀减速运动阶段,座椅和游客的加速度大小是多少?

 

【答案】

(1)7.2m     (2)

【解析】

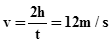
试题分析:(1)设全过程下落高度为h,历时为t;自由落体阶段下落高度为h1,历时t1,末速为v

自由落体运动阶段为匀变速直线运动平均速度  ①    (2分)    

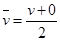
 对后阶段匀减速运动同样有平均速度 ② (2分) 

整段平均速度    

所以            (2分) 

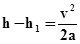
(2)对后阶段匀减速运动的逆过程有

  (2分)

所以           (2分)

考点:平均速度  自由落体运动

 

练习册系列答案
相关题目

违法和不良信息举报电话:027-86699610 举报邮箱:58377363@163.com

精英家教网