题目内容

(14分)下图为仓库中常用的皮带传输装置示意图,它由两台皮带传送机组成,一台水平传送,A、B两端相距3m,另一台倾斜,传送带与地面的倾角θ=37°,C、D两端相距4.45m,B、C相距很近。水平部分AB以5m/s的速率顺时针转动。将质量为10kg的一袋大米放在A端,到达B端后,速度大小不变地传到倾斜的CD部分,米袋与传送带间的动摩擦因数均为0.5。试求:

(1)若CD部分传送带不运转,求米袋沿传送带所能上升的最大距离;

(2)若要米袋能被送到D端,求CD部分顺时针运转的速度应满足的条件

(3)在满足(2)问的情况下,求米袋从C 端到D 端所用时间的取值范围。

 

【答案】

(1) (2) (3)

【解析】

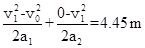
试题分析:(1)米袋在AB上加速时的加速度 

米袋的速度达到v0=5m/s时,滑行的距离

因此米袋在到达B点之前就有了与传送带相同的速度 ,

设米袋在CD上运动的加速度大小为a,由牛顿第二定律得:

代入数据得   

所以能滑上的最大距离     

(2)设CD部分运转速度为时米袋恰能到达D点(即米袋到达D点时速度恰好为零),则米袋速度减为之前的加速度为

米袋速度小于至减为零前的加速度为

解得,即要把米袋送到D点,CD部分的速度

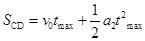
(3)米袋恰能运到D点所用时间最长为:

若CD部分传送带的速度较大,使米袋沿CD上滑时所受摩擦力一直沿皮带向上,则所用时间最短,此种情况米袋加速度一直为。由得,(1分)

所以,所求的时间t的范围为 

(说明:若计算中选用,则结果为1.162 s ,同样给分)

先由由牛顿定律求得加速度,再由运动公式可以求得球3位移大小再由运动学公式求解

考点:考查了牛顿第二定律,运动学公式的综合应用

 

练习册系列答案
相关题目

违法和不良信息举报电话:027-86699610 举报邮箱:58377363@163.com

精英家教网