题目内容

(17分)如图所示,质量为m=1kg的小物块轻轻放在水平匀速运动的传送带上的P点,随传送带运动到A点后水平抛出,小物块恰好无碰撞的沿圆弧切线从B点进入竖直光滑圆孤轨道下滑。B、C为圆弧的两端点,其连线水平。已知圆弧半径R=1.0m圆弧对应圆心角θ=1060,轨道最低点为O,A点距水平面的高度h=0.8m。小物块离开C点后恰能无碰撞的沿固定斜面向上运动,0.8s后经过D点,物块与斜面间的滑动摩擦因数为μ=1/3(g=10m/s2,sin37°=0.6,cos37°=0.8)试求:

(1)小物块离开A点的水平初速度v1

(2)小物块第一次通过O点时对O点的压力

(3)斜面上CD间的距离

 

【答案】

(1)(2)34N  (3)1.07m

【解析】

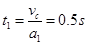
试题分析:(1)对小物块,由A到B为平抛运动竖直方向:

在B点速度沿切线方向,对速度分解如图

计算得

(2)BO间的竖直距离 

小物块由A到O,只有重力做功,根据动能定理有:

在O点圆周运动最低点合力提供向心力:

解得: 压力

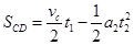
(3)物块沿斜面上滑:

所以        2分

物块沿斜面下滑: 

所以        1分

由机械能守恒知       1分

小物块由C上升到最高点历时       1分

小物块由最高点回到D点历时     1分

    

考点:平抛运动功能关系

 

练习册系列答案
相关题目
(选修3-5)
(1)核能是一种高效的能源.
①在核电站中,为了防止放射性物质泄漏,核反应堆有三道防护屏障:燃料包壳,压力壳和安全壳(见图甲).结合图乙可知,安全壳应当选用的材料是
混凝土
混凝土


②图丙是用来监测工作人员受到辐射情况的胸章,通过照相底片被射线感光的区域,可以判断工作人员受到何种辐射.当胸章上1mm铝片和3mm铝片下的照相底片被感光,而铅片下的照相底片未被感光时,结合图2分析工作人员受到了
β
β
射线的辐射;当所有照相底片被感光时,工作人员受到了
γ
γ
射线的辐射.
(2)下列说法正确的是
A.卢瑟福的a粒子散射实验揭示了原子核有复杂的结构
B.受普朗克量子论的启发,爱因斯坦在对光电效应的研究中,提出了光子说
C.核反应方程
 
238
92
U→
 
234
90
Th+
 
4
2
He属于裂变
D.宏观物体的物质波波长非常小,极易观察到它的波动性
E.根据爱因斯坦质能方程,物体具有的能量和它的质量之间存在着正比关系
F.β衰变中产生的β射线实际上是原子的核外电子挣脱原子核的束缚而形成的
G.中子与质子结合成氘核的过程中需要吸收能量
H.升高放射性物质的温度,可缩短其半衰期
I.氢原子辐射出一个光子后,根据玻尔理论可知氢原子的电势能增大,核外电子的运动加速度增大
J.对于任何一种金属都存在一个“最大波长”,入射光的波长必须小于这个波长,才能产生光电效应
(3)如图所示,质量为M=2kg的足够长的小平板车静止在光滑水平面上,车的一端静止着质量为MA=2kg的物体A(可视为质点).一个质量为m=20g的子弹以500m/s的水平速度迅即射穿A后,速度变为100m/s,最后物体A静止在车上.若物体A与小车间的动摩擦因数μ=0.5.(g取10m/s2
①平板车最后的速度是多大?
②全过程损失的机械能为多少?
③A在平板车上滑行的距离为多少?

违法和不良信息举报电话:027-86699610 举报邮箱:58377363@163.com

精英家教网