题目内容

(12分)如图所示,一质量为m带正电的小球,用长为L的绝缘细线悬挂于O点,处于一水平方向的匀强电场中,静止时细线右偏与竖直方向成45°角,位于图中的P点.重力加速度为g,求:

(1)静止在P点时线的拉力是多大?

(2)如将小球向右拉紧至与O点等高的A点由静止释放,则当小球摆至P点时,其电势能如何变?变化了多少?

(3) 如将小球向左拉紧至与O点等高的B点由静止释放,则小球到达P点时的速度大小?

 

【答案】

(1)T=(2)其电势能增加为(3)vC 

【解析】

试题分析:(1)小球静止在P点时由平衡条件得           1分

解得:T=           1分

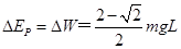
(2)小球从A到P的过程中,电场力F做负功,故其电势能增加  

由(1)问得 ,故               1分

则小球克服电场力做功              2分 

其电势能增加为         1分

(3)小球先做匀加速直线运动到达最低点C,     

根据动能定理得:            1分

解得:vC          1分

到达C点后细绳绷紧,小球沿细绳方向的速度变为零,则 

解得:vC                1分

从C到P做圆周运动,由动能定理得:

          2分

 解得vP         1分

考点:考查了共点力平衡条件,功能关系,动能定理,运动的合成与分解

 

练习册系列答案
相关题目

违法和不良信息举报电话:027-86699610 举报邮箱:58377363@163.com

精英家教网