题目内容
如图(a)所示,在以O为圆心,内外半径分别为R1和R2的圆环区域内,存在辐射状电场和垂直纸面的匀强磁场,内外圆间的电势差U为常量,R1=R,R2=3R,一电荷量为+q,质量为m的粒子从内圆上的A点进入该区域,不计重力.(1)已知粒子从外圆上以速度v1射出,求粒子在A点的初速度v的大小;
(2)若撤去电场,如图(b),已知粒子从OA延长线与外圆的交点C以速度v2射出,方向与OA延长线成45°角,求磁感应强度的大小及粒子在磁场中运动的时间;
(3)在图(b)中,若粒子从A点进入磁场,速度大小为v3,方向不确定,要使粒子一定能够从外圆射出,磁感应强度应小于多少?
【答案】分析:带电粒子在电场与磁场中,只有电场力对粒子做功,所以由动能定理可求出初速度.由于粒子从OA延长线与外圆的交点C以速度v2射出,则入射点与出射点连续是弦,因此弦的中垂线与射出速度的垂线交点即为轨道的圆心.从而由几何关系可求出磁感应强度大小及运动的时间.若粒子从A点进入磁场,速度大小一定,方向不定,要使粒子一定能够从外圆射出,粒子在磁场内的运动半径应大于过A点的最大内切圆半径,所以由轨道半径从而求出最小磁感应强度.
解答:
解:(1)电、磁场都存在时,只有电场力对带电粒子做功,由动能定理
①
得
②
(2)由牛顿第二定律
③
如图1,由几何关系粒子运动轨迹的圆心O′和半径R
则有:R2+R2=(R2-R1)2④
联立③④得磁感应强度大小
⑤
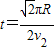
粒子在磁场中做匀速圆周运动的周期
⑥
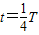
由几何关系确定粒子在磁场中运动的时间
⑦
由④⑥⑦式,得
⑧
(3)如图2,为使粒子射出,则粒子在磁场内的运动半径应大于过A点的最大内切圆半径,该半径为
⑨
由③⑨,得磁感应强度应小于
点评:解决粒子做匀速圆周运动的步骤:定圆心、画圆弧、求半径.同时若粒子从A点进入磁场,速度大小一定而方向不定,要使粒子一定能够从外圆射出,求磁感应强度应最大值,则粒子在磁场内的运动半径应大于过A点的最小内切圆半径.
解答:
得
(2)由牛顿第二定律
如图1,由几何关系粒子运动轨迹的圆心O′和半径R
则有:R2+R2=(R2-R1)2④
联立③④得磁感应强度大小
粒子在磁场中做匀速圆周运动的周期
由几何关系确定粒子在磁场中运动的时间
由④⑥⑦式,得
(3)如图2,为使粒子射出,则粒子在磁场内的运动半径应大于过A点的最大内切圆半径,该半径为
由③⑨,得磁感应强度应小于
点评:解决粒子做匀速圆周运动的步骤:定圆心、画圆弧、求半径.同时若粒子从A点进入磁场,速度大小一定而方向不定,要使粒子一定能够从外圆射出,求磁感应强度应最大值,则粒子在磁场内的运动半径应大于过A点的最小内切圆半径.
练习册系列答案
相关题目