题目内容
某实验小组利用如图甲所示的气垫导轨实验装置来探究合力一定时,物体的加速度与质量之间的关系.
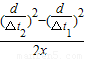
(1)做实验时,将滑块从图甲所示位置由静止释放,由数字计时器(图中未画出)可读出遮光条通过光电门1、2的时间分别为△t1、△t2;用刻度尺测得两个光电门中心之间的距离x,用游标卡尺测得遮光条宽度d.则滑块经过光电门1时的速度表达式v1=______;经过光电门2时的速度表达式v2=______,滑块加速度的表达式a=______.(以上表达式均用已知字母表示).如图乙所示,若用20分度的游标卡尺测量遮光条的宽度,其读数为______
______mm.
(2)为了保持滑块所受的合力不变,可改变滑块质量M和气垫导轨右端高度h(见图甲).关于“改变滑块质量M和气垫导轨右端的高度h”的正确操作方法是______
A.M增大时,h增大,以保持二者乘积增大
B.M增大时,h减小,以保持二者乘积不变
C.M减小时,h增大,以保持二者乘积不变
D.M减小时,h减小,以保持二者乘积减小.
【答案】分析:知道光电门测量滑块瞬时速度的原理.
根据运动学公式求出加速度.
了解不同的测量工具的精确度和读数方法.
解答:解:(1)滑块经过光电门1时的速度表达式v1=
经过光电门2时的速度表达式v2=
a=
=
游标卡尺的读数由主尺和游标尺两部分组成.读数为8.15mm.
(2)滑块的合力F合=Mg
,为了保持滑块所受的合力不变,
所以M和h 不能同时增大或减小.
故选BC.
故答案为:(1)
、
、
、8.15
(2)BC
点评:知道20分度的游标卡尺的精确度.
能够用力学知识找出M和h的关系.
根据运动学公式求出加速度.
了解不同的测量工具的精确度和读数方法.
解答:解:(1)滑块经过光电门1时的速度表达式v1=
经过光电门2时的速度表达式v2=
a=
游标卡尺的读数由主尺和游标尺两部分组成.读数为8.15mm.
(2)滑块的合力F合=Mg
所以M和h 不能同时增大或减小.
故选BC.
故答案为:(1)
(2)BC
点评:知道20分度的游标卡尺的精确度.
能够用力学知识找出M和h的关系.
练习册系列答案
相关题目