题目内容
(1)所加电场的电场强度E;
(2)所加磁场的磁感应强度B.
【答案】分析:(1)在水平轨道上加上水平向右的电场强度为E的匀强电场,小球将恰好从圆弧轨道的最高点M处水平飞出,知支持力为零,小球所受的重力提供向心力,对水平轨道段运用动能定理,求出所加电场的电场强度E.
(2)在圆形轨道区域加上垂直于纸面向里的匀强磁场后,小球将恰好从圆形轨道上与圆心等高的N点脱离轨道,知在N点轨道对球的弹力为零,小球所受的洛伦兹力提供向心力,在M到N端,只有重力做功,机械能守恒,根据机械能守恒定律求出所加磁场的磁感应强度.
解答:解:(1)设小球在M点的速率为v1,只加电场时对小球在M点,根据牛顿第二定律有:

在水平轨道上,对小球运用动能定理得:

联立两式解得:E=32V/m.
故所加电场的电场强度E=32V/m.
(2)设小球在N点速率为v2,在N点由牛顿第二定律得:
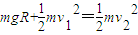
从M到N点,由机械能守恒定律得:

联立两式解得:B=
.
故所加磁场的磁感应强度B=
.
点评:本题综合运用了动能定理、机械能守恒定律、牛顿第二定律,并与电场磁场相结合,关键在于合理地选择研究的过程,并能正确地进行受力分析.
(2)在圆形轨道区域加上垂直于纸面向里的匀强磁场后,小球将恰好从圆形轨道上与圆心等高的N点脱离轨道,知在N点轨道对球的弹力为零,小球所受的洛伦兹力提供向心力,在M到N端,只有重力做功,机械能守恒,根据机械能守恒定律求出所加磁场的磁感应强度.
解答:解:(1)设小球在M点的速率为v1,只加电场时对小球在M点,根据牛顿第二定律有:
在水平轨道上,对小球运用动能定理得:
联立两式解得:E=32V/m.
故所加电场的电场强度E=32V/m.
(2)设小球在N点速率为v2,在N点由牛顿第二定律得:
从M到N点,由机械能守恒定律得:
联立两式解得:B=
故所加磁场的磁感应强度B=
点评:本题综合运用了动能定理、机械能守恒定律、牛顿第二定律,并与电场磁场相结合,关键在于合理地选择研究的过程,并能正确地进行受力分析.
练习册系列答案
相关题目