ÌâÄ¿ÄÚÈÝ

ˮƽ´«ËÍ´øÔÈËÙÔ˶¯£¬ËÙ¶È´óСΪv£¬ÏÖ½«Ò»Ð¡¹¤¼þÇá·Åµ½´«ËÍ´øÉÏ£¬µ±ËüÔÚ´«ËÍ´øÉÏ»¬¶¯Ò»¶Î¾àÀëºóËÙ¶È´ïµ½v¶øÓë´«ËÍ´ø±£³ÖÏà¶Ô¾²Ö¹¡£É蹤¼þÖÊÁ¿Îªm£¬ËüÓë´«ËÍ´ø¼äµÄ¶¯Ä¦²ÁÒòÊýΪ¦Ì£¬ÔòÔÚ¹¤¼þÏà¶Ô´«ËÍ´ø»¬¶¯µÄ¹ý³ÌÖУ¨  £©

A.»¬¶¯Ä¦²ÁÁ¦¶Ô¹¤¼þ×öµÄ¹¦Îªmv2

B.´«ËÍ´ø¿Ë·þĦ²ÁÁ¦×öµÄ¹¦mv2/2

C.¹¤¼þÏà¶ÔÓÚ´«ËÍ´ø»¬¶¯µÄ·³Ìv2/2¦Ìg

D.¹¤¼þ»úеÄܵÄÔö¼ÓÁ¿Îª mv2/2

 

¡¾´ð°¸¡¿

CD

¡¾½âÎö¡¿

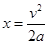
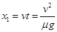
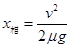
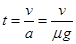
ÊÔÌâ·ÖÎö£ºÔÚÔ˶¯µÄ¹ý³ÌÖÐÖ»ÓÐĦ²ÁÁ¦¶Ô¹¤¼þ×ö¹¦£¬Óɶ¯Äܶ¨Àí¿ÉÖª£¬Ä¦²ÁÁ¦¶Ô¹¤¼þ×öµÄ¹¦µÈÓÚ¹¤¼þ¶¯Äܵı仯£¬¼´Îª£¬¹ÊA´íÎ󣻸ù¾ÝÅ£¶ÙµÚ¶þ¶¨ÂÉÖª£¬Ôò¹¤¼þµÄ¼ÓËÙ¶ÈΪ£¬ËùÒÔËÙ¶È´ïµ½¶øÓë´«ËÍ´ø±£³ÖÏà¶Ô¾²Ö¹Ê±¼ä£¬´«ËÍ´øÏà¶ÔÓÚµØÃæÔ˶¯µÄÎ»ÒÆ´óС£¬»¬¶¯Ä¦²ÁÁ¦¶Ô´«ËÍ´ø×öµÄ¹¦ÊÇ£¬´«ËÍ´ø¿Ë·þĦ²ÁÁ¦×öµÄ¹¦Îª£¬¹ÊB´íÎ󣻸ù¾ÝÅ£¶ÙµÚ¶þ¶¨ÂÉÖª£¬Ôò¹¤¼þµÄ¼ÓËÙ¶ÈΪ£¬ËùÒÔËÙ¶È´ïµ½¶øÓë´«ËÍ´ø±£³ÖÏà¶Ô¾²Ö¹Ê±¼ä£¬¹¤¼þµÄÎ»ÒÆÎª£¬¹¤¼þÏà¶ÔÓÚ´«ËÍ´ø»¬¶¯µÄ·³Ì´óСΪ£¬ÒÔÉϸ÷ʽÁªÁ¢½âµÃ£º£¬¹ÊCÕýÈ·£»¹¤¼þ¶¯ÄÜÔö¼ÓÁ¿Îª£¬ÊÆÄܲ»±ä£¬ËùÒÔ¹¤¼þµÄ»úеÄÜÔöÁ¿Îª£¬¹ÊDÕýÈ·£®

¿¼µã£º±¾ÌâÖ÷Òª¿¼²éÅ£¶ÙµÚ¶þ¶¨ÂÉ¡¢¹¦µÄ¼ÆËã¡¢¶¯Äܶ¨ÀíµÄÓ¦Óá¢ÄÜÁ¿Êغ㶨ÂÉ£¬ÒâÔÚ¿¼²éѧÉúÕýÈ··ÖÎöÎïÌåÊÜÁ¦ÒÔ¼°ÔËÓö¯Äܶ¨ÀíºÍÄÜÁ¿Êغ㶨ÂÉ×ۺϽâ¾öʵ¼ÊÎÊÌâµÄÄÜÁ¦£®

 

Á·Ï°²áϵÁдð°¸
Ïà¹ØÌâÄ¿

Î¥·¨ºÍ²»Á¼ÐÅÏ¢¾Ù±¨µç»°£º027-86699610 ¾Ù±¨ÓÊÏ䣺58377363@163.com

¾«Ó¢¼Ò½ÌÍø