题目内容
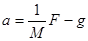
地面上有质量为M的重物,用力F竖直向上提它,力F和物体加速度a的函数关系如图所示,则下列说法正确的是
![]()
A.图中直线的斜率表示物体的质量M
B.图中A点对应的值为物体重力的大小
C.图中延长线与纵轴的交点B的数值的绝对值等于该地的重力加速度
D.物体向上运动的加速度a和力F成正比
BC
【解析】
试题分析:对物体根据牛顿定律可知
,变形可得
,所以图中直线的斜率的倒数表示物体的质量M,选项A错误;当a=0时可得F=Mg,所以图中A点对应的值为物体重力的大小,B选项正确;当F=0时,可得a=-g, 图中延长线与纵轴的交点B的数值的绝对值等于该地的重力加速度,C选项正确;物体向上运动的加速度a和力F是线性关系但不是成正比关系,D选项错误。
考点:牛顿第二定律及用图像表示物理规律问题
| A、3与桌面之间的摩擦力是20N | B、2和3之间无摩擦力 | C、物块3受6个力作用 | D、物块2受4个力作用 |
- QQ空间
- 新浪微博
- 百度搜藏
- 人人网
- 腾讯微博
- 开心网
- 腾讯朋友
- 百度空间
- 豆瓣网
- 搜狐微博
- MSN
- QQ收藏
- 我的淘宝
- 百度贴吧
- 搜狐白社会
- 更多...
百度分享
一个有一定厚度的圆盘,可以绕通过中心垂直于盘面的水平轴转动,用下面的方法测量它匀速转动时的角速度。
实验器材:电磁打点计时器、米尺、纸带、复写纸片。
实验步骤:
(1)如图1所示,将电磁打点计时器固定在桌面上,将纸带的一端穿过打点计时器的限位孔后,固定在待测圆盘的侧面上,使得圆盘转动时,纸带可以卷在圆盘侧面上。
(2)启动控制装置使圆盘转动,同时接通电源,打点计时器开始打点。
(3)经过一段时间,停止转动和打点,取下纸带,进行测量。
① 由已知量和测得量表示的角速度的表达式为ω= 。式中各量的意义是:
.
② 某次实验测得圆盘半径r=5.50×10-2m,得到纸带的一段如图2所示,求得角速度为 。
(1) (2)6.8/s。 |