题目内容
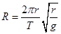
已知地球表面的重力加速度大小为
,地球的自转周期为
,卫星在同步圆轨道上的轨道半径为
,求:地球的半径?
【答案】
(6分)
【解析】
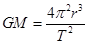
试题分析: 卫星在圆轨道的运动:
(2分)
可得:
(1分)
地球表面的重力加速度
(2分)
解得:
(1分)
考点:本题考查了牛顿第二定律、万有引力定律及其应用。
练习册系列答案
相关题目
太阳系八大行星绕太阳运动的轨道可粗略地认为是圆,各行星的半径、日星距离和质量如下表所示:
|
| A、太阳系的八大行星中,海王星的圆周运动速率最大 |
| B、太阳系的八大行星中,水星的圆周运动周期最大 |
| C、如果已知地球的公转周期为1年,万有引力常量G=6.67×10-11Nm2/kg2,再利用地球和太阳间的距离,则可以求出太阳的质量 |
| D、如果已知万有引力常量G=6.67×10-11Nm2/kg2,并忽略地球的自转,利用地球的半径以及地球表面的重力加g=10m/s2,则可以求出太阳的质量 |